中华人民共和国国家标准
城市综合管廊工程技术标准
Standard for urban utility tunnel engineering
GB/T 50838-2015
(2024年版)
主编部门:中华人民共和国住房和城乡建设部
批准部门:中华人民共和国住房和城乡建设部
施行日期:2015年6月1日
中华人民共和国住房和城乡建设部公告
第825号
住房城乡建设部关于发布国家标准《城市综合管廊工程技术规范》的公告
现批准《城市综合管廊工程技术规范》为国家标准,编号为GB 50838-2015,自2015年6月1日起实施。其中,第3.0.2、3.0.6、3.0.9、4.1.4、4.2.2、4.3.4、4.3.5、4.3.6、5.1.7、5.4.1、5.4.7、6.1.1、6.4.2、6.4.6、6.5.5、6.6.1、7.1.1、8.1.3条为强制性条文,必须严格执行。原《城市综合管廊工程技术规范》GB 50838-2012同时废止。
本规范由我部标准定额研究所组织中国计划出版社出版发行。
中华人民共和国住房和城乡建设部
2015年5月22日
本规范是根据住房城乡建设部《关于请参加GB 50838-2012修订工作的通知》(建标标函[2015]36号)的要求,由上海市政工程设计研究总院(集团)有限公司和同济大学会同有关单位共同编制。在编制过程中,本规范编制组经广泛调查研究,认真总结实践经验,参考有关国际标准和国外先进标准,并在广泛征求意见的基础上,完成了报批稿,最后经审查定稿。
本规范共分10章,主要技术内容有:总则、术语和符号、基本规定、规划、总体设计、管线设计、附属设施设计、结构设计、施工及验收和维护管理。
本规范修订的主要技术内容是:
1.增加对综合管廊工程的基本规定;
2.明确了给水、雨水、污水、再生水、天然气、热力、电力、通信等城市工程管线采用综合管廊方式敷设的规划规定;
3.增加雨水管道采用综合管廊方式敷设时的技术规定;
4.增加污水管道采用综合管廊方式敷设时的技术规定;
5.增加天然气管道采用综合管廊方式敷设时的技术规定;
6.增加热力管道采用综合管廊方式敷设时的技术规定;
7.增加综合管廊配备检修车的技术规定;
8.增加管线设计的技术规定;
9.修订预制拼装综合管廊结构的技术规定。
本规范中以黑体字标志的条文为强制性条文,必须严格执行。
本规范由住房城乡建设部负责管理和对强制性条文的解释,由上海市政工程设计研究总院(集闭)有限公司负责具体技术内容的解释。执行过程中如有意见或建议,请寄送上海市政工程设计研究总院(集团)有限公司(地址:上海市中山北二路901号,邮政编码:200092),以供今后修订时参考。
本规范主编单位、参编单位、主要起草人和主要审查人:
主编单位:上海市政工程设计研究总院(集团)有限公司
同济大学
参编单位:中国城市规划设计研究院
北京城建设计发展集团股份有限公司
北京市市政工程设计研究总院有限公司
中冶京诚工程技术有限公司
上海防灾救灾研究所
上海建工集团股份有限公司
上海市城市建设设计研究总院
河南省信阳市水利勘测设计院
上海交通大学
中泰国际控股集团有限公司
主要起草人:王恒栋 薛伟辰(以下按姓氏笔画排列)
丁向京 王 建 王家华 王 梅 尹力文
朱雪明 乔信起 刘广奇 刘澄波 祁德庆
李冬梅 李跃飞 杨幸运 杨京生 杨 剑
肖传德 肖 燃 余卫华 汪 胜 宋文波
陈玉山 郄燕秋 胡 翔 高振峰 席 红
陶子明 康明睿 韩 新 曾 磊 谢映霞
魏乃永 魏保军
主要审查人:束 昱 陈云玉 王如华 阎海鹏 王树林
王蔚蔚 朱国庆 刘雨生 杨 健 张振鹏
郑 琴 屈 凯 胡维杰 段洁仪 倪照鹏
黄继军 曾 滨 靳俊伟 檀 星
条文说明
修订说明
《城市综合管廊工程技术规范》GB 50838-2015,经住房城乡建设部2015年5月22日以第825号公告批准发布。
本规范是在《城市综合管廊工程技术规范》GB 50838-2012的基础上修订而成,上一版的主编单位是上海市政工程设计研究总院(集团)有限公司和同济大学,参编单位是中国城市规划设计研究院、上海建工集团股份有限公司、北京城建设计研究总院有限责任公司、上海防灾救灾研究所、北京市市政工程设计研究总院、上海市城市建设设计研究总院、河南省信阳市水利勘测设计院和上海交通大学,主要起草人员是王恒栋、薛伟辰、王建、王家华、王梅、朱雪明、乔信起、刘雨生、刘澄波、汤伟、祁峰、祁德庆、孙磊、杨行运、肖传德、肖燃、汪胜、张辰、郄燕秋、胡翔、高振峰、董更然、席红、韩新、谢映霞、谭园、魏保军。本次修订的主要技术内容足:强调了规划对综合管廊建设的指导作用,增加了管线进入综合管廊的条件,完善了预制拼装结构设计内容,增加了管廊内管线的设计技术规定。
本规范修订过程中,编制组进行了大量的调查研究,总结了我国城市综合管廊的实践经验,同时参考了国外先进技术法规、技术标准,取得了重要技术参数。
为便于广大设计、施工、科研、学校等单位有关人员在使用本规范时能正确理解和执行条文规定,《城市综合管廊工程技术规范》编制组按章、节、条顺序编制了条文说明,对条文规定的目的、依据以及执行中需注意的有关事项进行了说明,并着重对强制性条文的强制性理由作了解释。但是,本条文说明不具备与标准正文同等的法律效力,仅供使用者作为理解和把握标准规定的参考。
中华人民共和国住房和城乡建设部公告
2024年第214号
住房城乡建设部关于发布国家标准《城市综合管廊工程技术规范》局部修订的公告
现批准国家标准《城市综合管廊工程技术规范》(GB50838-2015)局部修订的条文,自2025年4月1日起实施。标准名称修改为《城市综合管廊工程技术标准》,标准编号修改为GB/T50838-2015。国家标准《特殊设施工程项目规范》(GB55028-2022)第3.3节同时废止,并将第3.1.1条第2款修改为“敷设城市配给工程管线时应采用支线综合管廊或小型综合管廊”。
局部修订的条文在住房城乡建设部门户网站(www.mohurd.gov.cn)公开,并在《工程建设标准化》刊登。
住房城乡建设部
2024年11月29日
本标准此次局部修订工作是依据《住房和城乡建设部关于印发2019年工程建设规范和标准编制及相关工作计划的通知》(建标函〔2019〕8号)的要求,由上海市政工程设计研究总院(集团)有限公司、同济大学会同有关单位共同完成。
本次局部修订的主要内容包括:
1.取消了强制性条文。
2.综合管廊分类调整为干线综合管廊、支线综合管廊、小型综合管廊,取消了缆线管廊。
3.细化了不同类型综合管廊的净高。
4.明确了采用明挖法建造的综合管廊直通地面人员出入口的水平间距。
5.取消了天然气管道舱通风换气次数的特殊要求。
6.取消了综合管廊应设置自动灭火系统的要求。
本标准中下划线部分为修订的内容。
本标准起草单位:上海市政工程设计研究总院(集团)有限公司(地址:上海市杨浦区中山北二路901号,邮政编码:20092,邮箱:smedi@smedi.com)
同济大学
中国建筑设计研究院有限公司
中国城市规划设计研究院
北京城建设计发展集团股份有限公司
北京市市政工程设计研究总院有限公司
中冶京诚工程技术有限公司
上海防灾救灾研究所
住房城乡建设部标准定额研究所
上海市城市建设设计研究总院(集团)有限公司
浙江大学
上海交通大学
中泰国际控股集团有限公司
广州金土岩土工程技术有限公司
河南驰诚电气股份有限公司
江苏沃士力新材料科技有限公司
上海市政交通设计研究院有限公司
四川君逸数码科技股份有限公司
深圳市蕾奥规划设计咨询股份有限公司
厦门市政管廊投资管理有限公司
中国市政工程华北设计研究总院有限公司
北京市城市规划设计研究院
成都市市政工程设计研究院有限公司
本标准主要起草人员:王恒栋 薛伟辰 李跃飞(以下按姓氏笔画排列)
王建 王洋辰 王家华 王梅 王鑫 尹力文 邓成云 邓军 华福才 刘广奇 刘文波 刘博扬 刘澄波 江佳斐 杜建梅 李冬梅 李亚 杨京生 肖燃 张志锐 张培培 张惠锋 张静 陈明建 陈雪华 周扬军 郑轶丽 赵欣 胡程 胡翔 侯强 洪昌富 祝栋年 袁卓尔 唐兰 黄剑 康明睿 韩新 曾磊 臧小龙 霍鑫艳 魏萌
本标准主要审查人员:陈云玉 徐波 束昱 赵克伟 张振鹏 黄继军 靳俊伟 林亚杰 欧阳康淼
1.0.1 为集约利用城市建设用地,提高城市工程管线建设安全与标准,统筹安排城市工程管线在综合管廊内的敷设,保证城市综合管廊工程建设做到安全适用、经济合理、技术先进、便于施工和维护,制定本规范。
1.0.2 本规范适用于新建、扩建、改建城市综合管廊工程的规划、设计、施工及验收、维护管理。
1.0.3 综合管廊工程建设应遵循“规划先行、适度超前、因地制宜、统筹兼顾”的原则,充分发挥综合管廊的综合效益。
1.0.4 综合管廊工程的规划、设计、施工及验收、维护管理,除应符合本规范外,尚应符合国家现行有关标准的规定。
条文说明
1.0.1 由于传统直埋管线占用道路下方地下空间较多,管线的敷设往往不能和道路的建设同步,造成道路频繁开挖,不但影响了道路的正常通行,同时也带来了噪声和扬尘等环境污染,一些城市的直埋管线频繁出现安全事故。因而在我国一些经济发达的城市,借鉴国外先进的市政管线建设和维护方法,兴建综合管廊工程。
综合管廊在我国有“共同沟、综合管沟、共同管道”等多种称谓,在日本称为“共同沟”,在我国台湾省称为“共同管道”,在欧美等国家多称为“Urban Municipal Tunnel”。
综合管廊实质是指按照统一规划、设计、施工和维护原则,建于城市地下用于敷设城市工程管线的市政公用设施。
1.0.2 综合管廊工程建设在我国正处于起步阶段,一般情况下多为新建的工程。也有一些建于20世纪90年代的综合管廊,以及一些地下人防工程根据功能的改变,需要改建和扩建为综合管廊。
2.1.1 综合管廊 utility tunnel
建于城市地下用于容纳两类及以上城市工程管线、内部空间能够满足人员通行的构筑物及附属设施。包括干线综合管廊、支线综合管廊和小型综合管廊三类。
2.1.2 干线综合管廊 trunk utility tunnel
主要容纳城市主干工程管线,一般不直接向沿线用户提供服务的综合管廊。
2.1.3 支线综合管廊 branch utility tunnel
容纳城市配给工程管线,直接向用户提供服务的综合管廊。
2.1.4 小型综合管廊 small utility tunnel
容纳小规模管网或末端配给工程管线,直接向用户提供服务的综合管廊。
2.1.5 城市工程管线 urban engineering pipeline
城市范围内为满足生活、生产需要的给水、雨水、污水、再生水、天然气、热力、电力、通信等市政公用管线,不包含工业管线。
2.1.6 通信线缆 communication cable
用于传输信息数据电信号或光信号的各种导线的总称,包括通信光缆、通信电缆以及智能弱电系统的信号传输线缆。
2.1.7 现浇混凝土综合管廊结构 cast in-site utility tunnel
采用现场整体浇筑混凝土的综合管廊。
2.1.8 预制拼装综合管廊结构 precast utility tunnel
在工厂内分节段浇筑成型,现场采用拼装工艺施工成为整体的综合管廊。
2.1.9 管线分支口 junction for pipe or cable
综合管廊内部管线和外部直埋管线相衔接的部位。
2.1.10 集水坑 sump pit
用来收集综合管廊内部渗漏水或管道排空水等的构筑物。
2.1.11 安全标识 safety mark
为便于综合管廊内部管线分类管理、安全引导、警告警示等而设置的铭牌或颜色标识。
2.1.12 舱室 compartment
由结构本体或防火墙分割的用于敷设管线的封闭空间。
条文说明
2.1.1 综合管廊与专业管线权属单位建设和运营的电力隧道、电缆沟、热力管沟本质的区别是其容纳两类及以上城市工程管线,需要协调多个城市工程管线权属部门建设与管理,并便于日常运行管理和维护。本次修订完善了综合管廊的定义,明确综合管廊的内部空间能够满足人员正常通行要求。根据大量地方实践经验及实际需求,综合管廊分为干线综合管廊、支线综合管廊、小型综合管廊等三类。综合管廊的划分依据,主要以纳入管线的等级、种类和规模确定。不同管线运行所需的安全设施、破坏后产生的后果和影响,决定了综合管廊的等级和功能,并进而决定了综合管廊形式、舱室、尺寸、附属系统配置等。
2.1.2 干线综合管廊一般设置于机动车道或道路中央下方,主要连接原站(如自来水厂、发电厂、热力厂等)与支线综合管廊。其一般不直接服务于沿线地区。干线综合管廊内主要容纳的管线为高压电力电缆、信息主干电缆或光缆、给水主干管道、热力主干管道等,有时结合地形也将排水管道容纳在内。在干线综合管廊内,电力电缆主要从超高压变电站输送至一、二次变电站,信息电缆或光缆主要为转接局之间的信息传输,热力管道主要为热力厂至调压站之间的输送。干线综合管廊的断面通常为圆形或多格箱形,如图1所示。综合管廊内一般要求设置工作通道及照明、通风等设备。干线综合管廊的特点主要为:
(1)稳定、大流量的运输;
(2)高度的安全性;
(3)紧凑的内部结构;
(4)可直接供给到稳定使用的大型用户;
(5)一般需要专用的设备;
(6)管理及运营比较简单。
图1 干线综合管廊示意图
本次修订优化了干线综合管廊的定义,将“用于容纳城市主干工程管线”改为“主要容纳城市主干工程管线”。补充了“一般不直接向沿线用户提供服务”的功能特点。删除了“采用独立分舱方式建设”,避免歧义。以入廊管线和服务功能为基础,不再强调采用独立分舱的建设形式,也可以采用多类管线共舱方式进行布置。
2.1.3 支线综合管廊主要用于将各种管线从干线综合管廊分配、输送至各直接用户。其一般设置在道路的两旁,容纳直接服务于沿线地区的各种管线。支线综合管廊的截面以矩形较为常见,一般为单舱或双舱箱形结构,如图2所示。综合管廊内一般要求设置工作通道及照明、通风等附属设施。支线综合管廊的特点主要为:
(1)有效(内部空间)截面较小;
(2)结构简单,施工方便;
(3)设备多为常用定型设备;
(4)一般不直接服务于大型用户。
本次修订优化了支线综合管廊的定义,删除“采用单舱或双舱方式建设”,舱室数量不是定义支线综合管廊的根本要求。
图2 支线综合管廊示意图
2.1.4 小型综合管廊一般设置在道路的人行道下面,其埋深较浅。截面以矩形较为常见,如图3所示。其主要特征是容纳小规模配给工程管线或末端配给管线,由于纳入管线数量较少,可以减少日常运行维护、减配附属设施。
图3 小型综合管廊示意图
2.2.1 材料性能
fpy——预应力筋或螺栓的抗拉强度设计值。
2.2.2 作用和作用效应
M——弯矩设计值;
Mj——预制拼装综合管廊节段横向拼缝接头处弯矩设计值;
Mk——预制拼装综合管廊节段横向拼缝接头处弯矩标准值;
Mz——预制拼装综合管廊节段整浇部位弯矩设计值;
N——轴向力设计值;
Nj——预制拼装综合管廊节段横向拼缝接头处轴力设计值;
Nz——预制拼装综合管廊节段整浇部位轴力设计值。
2.2.3 几何参数
A——密封垫沟槽截面面积;
A0——密封垫截面面积;
Ap——预应力筋或螺栓的截面面积;
h——截面高度;
x——混凝土受压区高度;
θ——预制拼装综合管廊拼缝相对转角。
2.2.4 计算系数及其他
K——旋转弹簧常数;
α1——系数;
ζ——拼缝接头弯矩影响系数。
3.0.1 给水、雨水、污水、再生水、天然气、热力、电力、通信等城市工程管线可纳入综合管廊。
3.0.2 (本条删除)
3.0.2A 综合管廊工程建设应符合综合管廊工程专项规划。
3.0.3 综合管廊工程应结合新区建设、旧城改造、道路新(扩、改)建,在城市重要地段和管线密集区规划建设。
3.0.4 城市新区主干路下的管线宜纳入综合管廊,综合管廊应与主干路同步建设。城市老(旧)城区综合管廊建设宜结合地下空间开发、旧城改造、道路改造、地下主要管线改造等项目同步进行。
3.0.5 综合管廊工程规划与建设应与地下空间、环境景观等相关城市基础设施衔接、协调。
3.0.6 (本条删除)
3.0.6A 综合管廊工程建设应符合现行工程建设强制性国家规范《特殊设施工程项目规范》GB55028的有关规定。
3.0.7 (本条删除)
3.0.7A 综合管廊的附属设施应符合下列规定:
1 干线综合管廊、支线综合管廊应同步建设消防、供电、照明、监控与报警、通风、排水、标识等附属设施系统;
2 小型综合管廊应根据入廊管线运行维护需求,同步建设通风、排水、消防、标识、防入侵等附属设施。
3.0.8 综合管廊工程规划、设计、施工和维护应与各类工程管线统筹协调。
3.0.9 (本条删除)
3.0.9A 纳入综合管廊的管线应进行专项管线设计。
3.0.10 纳入综合管廊的工程管线设计应符合综合管廊总体设计的规定及国家现行相应管线设计标准的规定。
3.0.11 综合管廊安全标志应符合现行国家标准《安全标志及其使用导则》GB 2894的有关规定。
条文说明
3.0.1 城市工程管线是指用于服务人民生产生活的市政常规管线,包括给水、雨水、污水、再生水、燃气、热力、电力、通信、广播电视等,这些市政管线应因地制宜纳入综合管廊,各类工业管线不属于本规范规定的范围。
根据国内外工程实践,各种城市工程管线均可以敷设在综合管廊内,通过安全保护措施可以确保这些管线在综合管廊内安全运行。本规范明确了各类管线进入综合管廊的条件。一般情况下,信息电(光)缆、电力电缆、给水管道进入综合管廊技术难度较小,这些管线可以同舱敷设,天然气、雨水、污水、热力管道进入综合管廊需满足相关安全规定,天然气管道及热力管道不得与电力管线同舱敷设,且天然气管道应单舱敷设。压力流排水管道与给水管道相似,可优先安排进入综合管廊内。由于我国幅员辽阔,建设场地地势条件差异较大,可通过详细的技术经济比较,确定采用重力流排水管渠进入综合管廊的方案。目前,重庆市、厦门市有充分利用地势条件将重力流污水管道纳入综合管廊的工程实例。考虑到重力流雨水、污水管渠对综合管廊竖向布置的影响,综合管廊内的雨水、污水主干线不宜过长,宜分段排入综合管廊外的下游干线。
根据现行国家标准《城镇燃气设计规范》GB 50028,城镇燃气包括人工煤气、液化石油气以及天然气。液化石油气密度大于空气,一旦泄露不易排出;人工煤气中含有CO不宜纳入地下综合管廊。且随着经济的发展,天然气逐渐成为城镇燃气的主流,因此本规范仅考虑天然气管线纳入综合管廊。
3.0.2A 综合管廊建设实施应以综合管廊工程规划为指导,保证综合管廊的系统性,提高综合管廊效益,应根据规划确定的综合管廊断面和位置,综合考虑施工方式和与周边构筑物的安全距离,预留相应的地下空间,保证后续建设项目实施。
原条文为强制性条文,在现行工程建设强制性国家规范《特殊设施工程项目规范》GB 55028-2022中未纳入,根据要求删除。本次修订为“符合综合管廊工程专项规划”,表述更为准确,强调了综合管廊工程专项规划对建设的指导和管控作用。
3.0.3 根据《国务院关于加强城市基础设施建设的意见》(国发[2013]36号)和《关于加强城市地下管线建设管理的指导意见》(国办发[2014]27号),稳步推进城市地下综合管廊建设,开展地下综合管廊试点工程,探索投融资、建设维护、定价收费、运营管理等模式,提高综合管廊建设管理水平。通过试点示范效应,带动具备条件的城市结合新区建设、旧城改造、道路新(改、扩)建,在重要地段和管线密集区建设综合管廊。
综合管廊的建设既要体现针对性,又要体现协同性。综合管廊建设要针对需求强烈的城市重要地段和管线密集区,提高综合管廊实施效果;综合管廊建设也要与新区建设、旧城改造、道路建设等相关项目协同推进,提高可实施性。
3.0.4 城市新区应高标准规划建设地下管线设施,新区主干路往往也是地下管线设施的重要通道,宜采用综合管廊的方式。综合管廊与新区主干道路同步建设可大大减少建设难度和投资。
城市老(旧)城区综合管廊建设应以规划为指导,结合地下空间开发利用、旧城改造、道路建设、地下主要管线改造等项目同步进行,避免单纯某一项目建设对地面交通、管线设施运行的影响,并减少项目投资。
3.0.5 综合管廊属于城市基础设施的一种类型,是一种高效集约的城市地下管线布置形式,综合管廊工程规划应与城市给水、雨水、污水、供电、通信、燃气、供热、再生水等地下管线设施规划相协调;城市综合管廊主体采用地下布置,属于城市地下空间利用的形式之一,因此综合管廊工程规划建设应统筹考虑与城市地下空间尤其是轨道交通的关系;综合管廊的出入口、吊装口、进风口及排风口等均有露出地面的部分,其形式与位置等应与城市环境景观相一致。
3.0.6A 在现行工程建设强制性国家规范《特殊设施工程项目规范》GB 55028-2022的公告中已经废止,根据要求应当删除。要求综合管廊工程建设符合现行工程建设强制性国家规范《特殊设施工程项目规范》GB55028的相关规定。
3.0.7A 按照综合管廊的分类,干线综合管廊、支线综合管廊要求同步建设比较完善的附属设施系统,包括消防、供电、照明、监控与报警、通风、排水、标识等。小型综合管廊附属设施可根据入廊管线运行维护需求简单配置,以自然通风、排水、安全标识、防火封堵、移动式灭火器为主,运维采用临时供电和照明,有条件的可设防入侵、温度、水位等监控。
3.0.8 综合管廊主要为各类城市工程管线服务,规划设计阶段应以管线规划及其工艺需求为主要依据,建设过程中应与直埋管线在平面和竖向布置相协调,建成后的运营维护应确保纳入管线的安全运行。
3.0.9A 要求敷设于综合管廊内的管线应进行管线专项设计,有利于管线在综合管廊内合理敷设,避免管线相互干扰,无序占用空间。
3.0.10 综合管廊工程设计内容应包含平面布置、竖向设计、断面布置、节点设计等总体设计,结构设计,以及电气、监控和报警、通风、排水、消防等附属设施的工程设计。
为确保综合管廊内各类管线安全运行,纳入综合管廊内的管线均应根据管线运行特点和进入综合管廊后的特殊要求进行管线专项设计,管线专项设计应符合本标准和相关专业规范的技术规定。在现行工程建设强制性国家规范《特殊设施工程项目规范》GB 55028-2022中未纳入,根据要求删除。
3.0.11 新增条款。综合管廊安全标志的设置应符合现行国家标准《安全标志及其使用导则》GB 2894。该标准规定了传递安全信息的标志及其设置、使用的原则。
《城市综合管廊工程技术标准》GB/T50838-2015(2024年版)
4.1.1 综合管廊工程规划应符合城市总体规划要求,规划年限应与城市总体规划一致,并应预留远景发展空间。
4.1.2 综合管廊工程规划应与城市地下空间规划、工程管线专项规划及管线综合规划相衔接。
4.1.3 综合管廊工程规划应坚持因地制宜、远近结合、统一规划、统筹建设的原则。
4.1.4 (本条删除)
4.1.4A 综合管廊工程专项规划应统筹地上、地下空间布局,协调综合管廊工程与其他地上、地下工程的空间关系。
4.1.5 综合管廊工程规划应包含平面布局、断面、位置、近期建设计划等内容。
条文说明
4.1.1 城市总体规划是对一定时期内城市性质、发展目标、发展规模、土地利用、空间布局以及各项建设的综合部署和实施措施,综合管廊工程规划应以城市总体规划为上位依据并符合城市总体规划的发展要求,也是城市总体规划对市政基础设施建设要求的进一步落实,其规划年限应与城市总体规划年限相一致。由于综合管廊生命周期原则上不少于100年,因此综合管廊工程规划应适当考虑城市总体规划法定期限以外(即远景规划部分)的城市发展需求。
4.1.2 城市新区的综合管廊工程规划中,若综合管廊工程规划建设在先,各工程管线规划和管线综合规划应与综合管廊工程规划相适应;老城区的综合管廊工程规划中,综合管廊应满足现有管线和规划管线的需求,并可依据综合管廊工程规划对各工程管线规划进行反馈优化。
4.1.3 有条件建设综合管廊的城市应编制综合管廊工程规划,且该规划要适应当地的实际发展情况,预留远期发展空间并落实近期可实施项目,体现规划的系统性。
4.1.4A 原条文为强制性条文,在现行工程建设强制性国家规范《特殊设施工程项目规范》GB 55028-2022中未纳入,根据要求删除。综合管廊相比较于传统管道直埋方式的优点之一是节省地下空间,综合管廊工程规划中应按照综合管廊内管线设施优化布置的原则预留地下空间,同时与地下和地上设施相协调,避免发生冲突。
综合管廊工程专项规划中应按照综合管廊内管线设施优化布置的原则预留地下空间,统筹地上、地下空间布局,同时与其他地上、地下工程设施相协调,避免发生冲突。
4.2.1 综合管廊布局应与城市功能分区、建设用地布局和道路网规划相适应。
4.2.2 (本条删除)
4.2.2A 综合管廊工程专项规划应符合现行工程建设强制性国家规范《特殊设施工程项目规范》GB 55028的有关规定。
4.2.3 综合管廊应与地下交通、地下商业开发、地下人防设施及其他相关建设项目协调。
4.2.4 (本条删除)
4.2.5 当遇到下列情况之一时,宜采用综合管廊:
1 交通运输繁忙或地下管线较多的城市主干道以及配合轨道交通、地下道路、城市地下综合体等建设工程地段;
2 城市核心区、中央商务区、地下空间高强度成片集中开发区、重要广场、主要道路的交叉口、道路与铁路或河流的交叉处、过江隧道等;
3 道路宽度难以满足直埋敷设多种管线的路段;
4 重要的公共空间;
5 不宜开挖路面的路段。
4.2.6 (本条删除)
4.2.6A 综合管廊应规划建设监控中心,并应符合下列规定:
1 应满足综合管廊运行维护的需要;
2 宜设置在综合管廊平面中心位置;
3 应满足城市管理和应急处置的需求;
4 当城市在不同片区(组团)规划建设综合管廊时,宜分别设立片区(组团)级、城市级监控中心;
5 宜与临近的公共建筑物合建,建筑面积应满足综合管廊最终规模的使用要求。
条文说明
4.2.1 综合管廊的布置应以城市总体规划的用地布置为依据,以城市道路为载体,既要满足现状需求,又能适应城市远期发展。
4.2.2A 在现行工程建设强制性国家规范《特殊设施工程项目规范》GB 55028-2022的公告中已经废止,根据要求删除。强调综合管廊工程专项规划应符合现行工程建设强制性国家规范《特殊设施工程项目规范》GB55028的规定。
4.2.3 综合管廊与地下交通、地下商业、地下人防设施等地下开发利用项目在空间上有交叉或者重叠时,应在规划、选线、设计、施工等阶段与上述项目在空间上统筹考虑,在设计施工阶段宜同步开展,并预先协调可能遇到的矛盾。
4.2.5 城市综合管廊工程建设可以做到“统一规划、统一建设、统一管理”,减少道路重复开挖的频率,集约利用地下空间。但是由于综合管廊主体工程和配套工程建设的初期一次性投资较大,不可能在所有道路下均采用综合管廊方式进行管线敷设。结合现行国家标准《城市工程管线综合规划规范》GB 50289相关规定,在传统直埋管线因为反复开挖路面对道路交通影响较大、地下空间存在多种利用形式、道路下方空间紧张、地上地下高强度开发、地下管线敷设标准要求较高的地段,以及对地下基础设施的高负荷利用的区域,适宜建设综合管廊。
4.2.6A 综合管廊由于配套建有完善的监控预警系统等附属设施,需要通过监控中心对综合管廊及内部设施运行情况实时监控,保证设施运行安全和智能化管理。监控中心宜设置控制设备中心、大屏幕显示装置、会商决策室等。监控中心的选址应以满足其功能为首要原则,鼓励与城市气象、给水、排水、交通等监控管理中心或周边公共建筑合建,便于智慧型城市建设和城市基础设施统一管理。
根据综合管廊管理的实际,提出监控中心分级管控要求。综合管廊的监控中心宜设置在综合管廊系统平面中心,便于运营管理。综合管廊的监控平台的功能模块,要考虑城市管理和应急处置的接入需要。当城市在不同片区(组团)规划建设综合管廊时,宜分别设立片区(组团)级、城市级监控中心。
4.3.1 综合管廊断面形式应根据纳入管线的种类及规模、建设方式、预留空间等确定。
4.3.2 综合管廊断面应满足管线安装、检修、维护作业所需要的空间要求。
4.3.3 综合管廊内的管线布置应根据纳入管线的种类、规模及周边用地功能确定。
4.3.4 (本条删除)
4.3.4A 敷设在综合管廊内的天然气管道应符合下列规定:
1 最高工作压力应小于或等于1.6MPa;
2 设计管径不应大于DN600mm。当设计管径大于DN600mm时,应在独立舱室内敷设;
3 天然气管道不宜纳入小型综合管廊。
4.3.5 (本条删除)
4.3.5A 采用蒸汽介质的热力管道不应纳入小型综合管廊。
4.3.6 (本条删除)
4.3.6A 纳入干线综合管廊、支线综合管廊的热力管道不应与220kV及以上电压等级的电力电缆同舱敷设。
4.3.7 110kV及以上电力电缆,不应与通信电缆同侧布置。
4.3.8 给水管道与热力管道同侧布置时,给水管道宜布置在热力管道下方。
4.3.9 进入综合管廊的排水管道应采用分流制,雨水纳入综合管廊可利用结构本体或采用管道方式。
4.3.10 污水纳入综合管廊应采用管道排水方式,污水管道宜设置在综合管廊的底部。
条文说明
4.3.1 综合管廊的断面形式应根据管线种类和数量、管线尺寸、管线的相互关系以及施工方式等综合确定。
4.3.2 综合管廊断面尺寸的确定,应根据综合管廊内各管道(线缆)的数量和布置要求确定,管道(线缆)的间距应满足各专业管道(线缆)的相关设计和施工技术要求。
4.3.4A 原条文为强制性条文,在现行工程建设强制性国家规范《特殊设施工程项目规范》GB 55028-2022中未纳入,根据要求删除。根据日本《共同沟设计指针》第3.2条中:“燃气隧道:考虑到对发生灾害时的影响等因素原则上采用单独隧洞”。现行国家标准《城镇燃气设计规范》GB 50028-2006(2020年版)中第6.3.7条“地下燃气管道……并不宜与其他管道或电缆同沟敷设。当需要同沟敷设时,必须采取有效的安全防护措施”。
现行国家标准工程建设强制性国家规范《供热工程项目规范》GB 55010-2021中第3.3.1条:“供热管道不得与输送易燃、易爆、易挥发及有毒、有害、有腐蚀性和惰性介质的管道敷设在同一管沟内。”其目的是安全生产。供热管道禁止与易爆、易燃、易挥发、有毒、有害、有腐蚀性、和惰性介质管道共同敷设在同一地沟内,是为了避免上述管道泄漏对检修巡视人员、沟内设备造成危害,避免有害气体沿供热管沟扩散到其他建筑物,危及安全。
本次修订删除了天然气管道入廊必须采用单舱敷设的规定。结合深圳盐田、布拉格、东京等地综合管廊天然气管道与给水、污水等管道共舱的建设运营经验,根据现行国家标准《城镇燃气设计规范》GB50028-2006(2020年版)第6.3.7条的规定,当天然气管道与其他管道同舱敷设时,必须采取有效的安全措施,通过加强管道材质、监控、防爆等安全防护措施,在确保安全的前提下,降低天然气管道入廊成本,提高综合管廊空间利用率。根据综合管廊工程实践经验,按照集约节约和因地制宜的原则要求,天然气管道设计压力在1.6MPa以下时,优先考虑与其他城市工程管线同舱敷设。当天然气管道设计压力大于1.6MPa时,应当通过安全论证和采取可靠的安全防护措施,与其他城市工程管线同舱敷设。
明确了入廊的天然气管道设计管径应小于或等于DN600mm。其中,大于DN600mm的天然气主干管输送能力较大,影响范围大;小区内管道,需频繁接出支管的,不建议敷设于综合管廊内。
考虑到小型综合管廊因未配置相关监控报警设备,不适宜敷设天然气管道。
4.3.5A 原条文为强制性条文,在现行工程建设强制性国家规范《特殊设施工程项目规范》GB 55028-2022中未纳入,根据要求删除。根据行业标准《城镇供热管网设计标准》CJJ/T 34-2022中第8.2.4条的规定,“供热管道采用管沟敷设时,宜采用不通行管沟敷设......”,由于供热管道事故时对管廊设施的影响大,宜采用独立舱室敷设。
删除热力管道采用蒸汽介质时应在独立舱室内敷设的要求,同步修订第6.5.3条,通过介质温度控制、压力控制、环境温度控制等措施保证热力管道入廊安全。
鉴于小型综合管廊附属设施配置较为简单,明确热力管道采用蒸汽介质时不应纳入小型综合管廊。
4.3.6A 原条文为强制性条文,在现行工程建设强制性国家规范《特殊设施工程项目规范》GB 55028-2022中未纳入,根据要求删除。根据现行国家标准《电力工程电缆设计规范》GB 50217-2018中第5.1.9条规定“在隧道、沟、浅槽、竖井、夹层等封闭式电缆通道中,不得布置热力管道,严禁有易燃气体或易燃液体的管道穿越”。本次修订,根据工程实践和综合管廊管理水平的提升,提出了供热管道与其他城市工程管线同舱敷设时的环境温度控制要求,同步修订第6.5.3条,规定了入廊的热力管道介质温度控制、压力控制、环境温度控制等措施,保证管道入廊安全。在有条件约束的情况下,允许热力管道、电力电缆同舱敷设。供热管道可以与电力电缆在综合管廊内同舱敷设,但也明确要求“热力管道不应与220KV及以上电压等级的电力电缆同舱敷设。”
4.3.7 通信线缆采用电缆的,考虑到高压电力电缆可能对通信电缆的信号产生干扰,故110kV及以上电力电缆不应与通信电缆同侧布置。
4.3.8 本条依据行业标准《城镇供热管网设计规范》CJJ 34-2010中第8.1.4条的要求,“在综合管沟内,热力网管道应高于自来水管道和重油管道,并且自来水管道应做绝热层和防水层”。
4.3.10 由于污水中可能产生的有害气体具有一定的腐蚀性,同时考虑综合管廊的结构设计使用年限等因素,因此污水进入综合管廊,无论压力流还是重力流,均应采用管道方式,不应利用综合管廊结构本体。
4.4.1 综合管廊位置应根据道路横断面、地下管线和地下空间利用情况等确定。
4.4.2 干线综合管廊宜设置在机动车道、道路绿化带下。
4.4.3 支线综合管廊宜设置在道路绿化带、人行道或非机动车道下。
4.4.4 小型综合管廊宜设置在人行道、非机动车道或绿化带下。
4.4.5 综合管廊的覆土深度应根据地下设施竖向规划、行车荷载、绿化种植及设计冻深等因素综合确定。
条文说明
4.4.1 综合管廊在道路下面的位置,应结合道路横断面布置、地下管线及其他地下设施等综合确定。此外,在城市建成区尚应考虑与地下已有设施的位置关系。
4.4.4 本次修订不再把缆线管廊纳入综合管廊分类标准中,主要原因是缆线管廊由电力或通信企业根据自身的使用要求而建设和运营。增加了小型综合管廊,其主体结构简单,占用空间较小,设置在人行道、非机动车道或绿化带下,便于施工和维护。
5.1.1 综合管廊平面中心线宜与道路、铁路、轨道交通、公路中心线平行。
5.1.2 综合管廊穿越城市快速路、主干路、铁路、轨道交通、公路时,宜垂直穿越;受条件限制时可斜向穿越,最小交叉角不宜小于60°。
5.1.3 综合管廊的断面形式及尺寸应根据施工方法及容纳的管线种类、数量、分支等综合确定。
5.1.4 综合管廊管线分支口应满足预留数量、管线进出、安装敷设作业的要求。相应的分支配套设施应同步设计。
5.1.5 含天然气管道舱室的综合管廊不应与其他建(构)筑物合建。
5.1.6 天然气管道舱室与周边建(构)筑物间距应符合现行国家标准《城镇燃气设计规范》GB 50028的有关规定。
5.1.7 (本条删除)
5.1.7A 管道进入综合管廊时,应在综合管廊外部设置管道关断阀门。
5.1.8 综合管廊设计时,应预留管道排气阀、补偿器、阀门等附件安装、运行、维护作业所需要的空间。
5.1.9 管道的三通、弯头等部位应设置支撑或预埋件。
5.1.10 综合管廊顶板处,应设置供管道及附件安装用的吊钩、拉环或导轨。吊钩、拉环相邻间距不宜大于10m。
5.1.11 (本条删除)
条文说明
5.1.1 综合管廊一般在道路的规划红线范围内建设,综合管廊的平面线形应符合道路的平面线形。当综合管廊从道路的一侧折转到另一侧时,往往会对其他的地下管线和构筑物建设造成影响,因而尽可能避免从道路的一侧转到另一侧。
5.1.2 本条参照国家标准《城市工程管线综合规划规范》GB 50289-2015第4.1.7条规定。综合管廊一般宜与城市快速路、主干路、铁路、轨道交通、公路等平行布置,如需要穿越时,宜尽量垂直穿越,条件受限时,为减少交叉距离,规定交叉角不宜小于60°,如图4所示。
图4 综合管廊最小交叉角示意图
5.1.3 矩形断面的空间利用效率高于其他断面,因而一般具备明挖施工条件时往往优先采用矩形断面。但是当施工条件受到制约必须采用非开挖技术如顶管法、盾构法施工综合管廊时,一般需要采用圆形断面。当采用明挖预制拼装法施工时,综合考虑断面利用、构件加工、现场拼装等因素,可采用矩形、圆形、马蹄形断面。
5.1.4 综合管廊内的管线为沿线地块服务,应根据规划要求预留管线引出节点。综合管廊建设的目的之一就是避免道路的开挖,在有些工程建设当中,虽然建设了综合管廊,但由于未能考虑到其他配套的设施同步建设,在道路路面施工完工后再建设,往往又会产生多次开挖路面或人行道的不良影响,因而要求在综合管廊分支口预埋管线,实施管线工井的土建工程。
5.1.5 其他建(构)筑物主要指地下商业、地下停车场、地下道路、地铁车站以及地面建筑物的地下部分等。不同地下建(构)筑物工后沉降控制指标不一致,为了避免因地下建(构)筑物沉降差异导致天然气管线破损而泄漏,参照日本《共同沟设计指针》第2章基本规划中提到:“6)在地铁车站房舍建筑部或者一般部位的建筑物上建设综合管沟时,采用相互分离的构造为佳。如果采用一体式构造时,应该与有关人员协商后制定综合管沟的位置和结构规划。”故不建议与其他建(构)筑物合建。如确需与其他地下建(构)筑物合建,必须充分考虑相互影响因素。
5.1.6 本条参照现行国家标准《城镇燃气设计规范》GB 50028中燃气管线与其他建(构)筑物间距的规定。
5.1.7A 原条文为强制性条文,在现行工程建设强制性国家规范《特殊设施工程项目规范》GB 55028-2022中未纳入,根据要求删除。压力管道运行出现意外情况时,应能够快速可靠地通过阀门进行控制,为便于管线维护人员操作,一般应在综合管廊外部设置阀门井,将控制阀门布置在管廊外部的阀门井内。
纳入综合管廊内的管道一般为压力流管道而不是压力管道,压力流管道在进入综合管廊时,在综合管廊外部设置管道关断阀门属于应急措施,主要控制压力流管道进入综合管廊的流量控制。
5.1.8 管道内输送的介质一般为液体或气体,为了便于管理,往往需要在管道的交叉处设置阀门进行控制。阀门的控制可分为电动阀门或手动阀门两种。由于阀门占用空间较大,应予以考虑。
5.1.9 综合管廊空间设计应考虑管道三通、弯头等部位的支撑布置,管线设计时应对这些支撑或预埋件进行设计并与综合管廊设计协调。
5.1.11 本条参照国家标准《城镇燃气设计规范》GB 50028-2006中第6.6.14条第5款要求。
《城市综合管廊工程技术标准》GB/T50838-2015(2024年版)
5.2.1 综合管廊穿越河道时应选择在河床稳定的河段,最小覆土深度应满足河道整治和综合管廊安全运行的要求,并应符合下列规定:
1 在Ⅰ~Ⅴ级航道下面敷设时,顶部高程应在远期规划航道底高程2.0m以下;
2 在Ⅵ、Ⅶ级航道下面敷设时,顶部高程应在远期规划航道底高程1.0m以下;
3 在其他河道下面敷设时,顶部高程应在河道底设计高程1.0m以下。
5.2.2 综合管廊与相邻地下管线及地下构筑物的最小净距应根据地质条件和相邻构筑物性质确定,且不得小于表5.2.2的规定。
表5.2.2 综合管廊与相邻地下构筑物的最小净距
5.2.3 综合管廊最小转弯半径,应满足综合管廊内各种管线的转弯半径要求。
5.2.4 综合管廊的监控中心与综合管廊之间宜设置专用连接通道,通道的净尺寸应满足日常检修通行的要求。
5.2.5 综合管廊与其他方式敷设的管线连接处,应采取密封和防止差异沉降的措施。
5.2.6 综合管廊内纵向坡度超过10%时,应在人员通道部位设置防滑地坪或台阶。
5.2.7 综合管廊内电力电缆弯曲半径和分层布置,应符合现行国家标准《电力工程电缆设计规范》GB 50217的有关规定。
5.2.8 综合管廊内通信线缆弯曲半径应大于线缆直径的15倍,且应符合现行行业标准《通信线路工程设计规范》YD 5102的有关规定。
条文说明
5.2.1 本条参照国家标准《城市工程管线综合规划规范》GB 50289第4.1.8条规定。航道等级按照现行国家标准《内河通航标准》GB 50139规定划分。
5.2.2 本条参照国家标准《城市电力电缆线路设计技术规定》DL/T 5221-2005第12.1.8条规定。
5.2.4 监控中心宜靠近综合管廊主线,为便于维护管理人员自监控中心进出管廊,之间宜设置专用维护通道,并根据通行要求确定通道尺寸。
5.2.5 当管线进入综合管廊或从综合管廊引出时,由于敷设方式不同以及综合管廊与道路结构不同,容易产生不均匀沉降,进而对管线运行安全产生影响。设计时应采取措施避免差异沉降对管线的影响。在管线进出综合管廊部位,尚应做好防水措施,避免地下水渗入综合管廊。
5.3.1 综合管廊标准断面内部尺寸应根据容纳管线的种类、规格、数量、安装要求等综合确定,并应符合下列规定:
1 干线综合管廊净高不应小于2.4m;
2 支线综合管廊净高不应小于2.1m;
3 小型综合管廊净高不应小于1.5m且不应大于2.1m。净宽不应大于2.4m。
5.3.2 综合管廊标准断面内部净宽应根据容纳的管线种类、数量、运输、安装、运行、维护等要求综合确定。
5.3.3 综合管廊通道净宽,应满足管道、配件及设备运输的要求,并应符合下列规定:
1 综合管廊内两侧设置支架或管道时,检修通道净宽不宜小于1.0m;单侧设置支架或管道时,检修通道净宽不宜小于0.9m。
2 配备检修车的综合管廊检修通道宽度不宜小于2.2m。
5.3.4 电力电缆的支架间距应符合现行国家标准《电力工程电缆设计规范》GB 50217的有关规定。
5.3.5 通信线缆的桥架间距应符合现行行业标准《光缆进线室设计规定》YD/T 5151的有关规定。
5.3.6 综合管廊的管道安装净距(图5.3.6)不宜小于表5.3.6的规定。
图5.3.6 管道安装净距
表5.3.6 综合管廊的管道安装净距
条文说明
5.3.1 综合管廊断面净高应考虑头戴安全帽的工作人员在综合管廊内作业或巡视工作所需要的高度,并应考虑通风、照明、监控因素。
行业标准《城市电力电缆线路设计技术规定》DL/T 5221-2016第6.4.1条规定:“电缆隧道的净高不宜小于1900mm,与其他沟道交叉的局部段净高,不得小于1400mm或改为排管连接。”参考现行国家标准《电力工程电缆设计规范》GB 50217-2018要求:“隧道、工作井的净高,不宜小于1900mm,与其他沟道交叉的局部段净高,不得小于1400mm;电缆夹层的净高,不得小于2000mm。”
考虑到综合管廊内容纳的管线种类数量较多及各类管线的安装运行需求,同时为长远发展预留空间,结合国内工程实践经验,本次规范修订将综合管廊内部净高最小尺寸根据综合管廊的不同类型提出不同的控制指标。
5.3.3 综合管廊通道净宽首先应满足管道安装及维护的要求,同时综合行业标准《城市电力电缆线路设计技术规定》DL/T 5221-2005第6.1.4条、国家标准《电力工程电缆设计规范》GB 50217-2007第5.5.1条的规定,确定检修通道的最小净宽。
对于容纳输送性管道的综合管廊,宜在输送性管道舱设置主检修通道,用于管道的运输安装和检修维护,为便于管道运输和检修,并尽量避免综合管廊内空气污染,主检修通道宜配置电动牵引车,参考国内小型牵引车规格型号,综合管廊内适用的电动牵引车尺寸按照车宽1.4m定制,两侧各预留0.4m安全距离,确定主检修通道最小宽度为2.2m。
根据国内综合管廊的实践经验,图5~图8为综合管廊标准断面示意。
图5 断面示意图一
图6 断面示意图二
图7 断面示意图三
图8 断面示意图四
5.3.6 管道的连接一般为焊接、法兰连接、承插连接。根据日本《共同沟设计指针》的规定,管道周围操作空间根据管道连接形式和管径而定。
5.4.1 (本条删除)
5.4.1A 综合管廊的每个舱室应设置人员出入口、逃生口、吊装口、进风口、排风口、管线分支口等,并应符合下列规定:
1 采用明挖方式建造的综合管廊,直接通向地面的人员出入口的水平间距不宜大于2000m;
2 采用非开挖方式建造的综合管廊,应根据工作井的布置统筹设置。
5.4.2 综合管廊的人员出入口、逃生口、吊装口、进风口、排风口等露出地面的构筑物应满足城市防洪要求,并应符合下列规定:
1 满足城市防洪要求,其开口标高不应低于防洪水位以上0.5m或采取防止地面水倒灌的措施;
2 防止小动物进入;
3 防止人员非法入侵。
5.4.3 综合管廊人员出入口宜与逃生口、吊装口、进风口结合设置,且不应少于2个。
5.4.4 综合管廊逃生口的设置应符合下列规定:
1 敷设电力电缆的舱室,逃生口间距不宜大于400m。
2 敷设天然气管道的舱室,逃生口间距不宜大于200m。
3 敷设热力管道的舱室,逃生口间距不应大于400m。当热力管道采用蒸汽介质时,逃生口间距不应大于100m。
4 敷设其他管道的舱室,逃生口间距不宜大于400m。
5 逃生口尺寸不应小于1m×1m,当为圆形时,内径不应小于1m。
5.4.5 综合管廊吊装口的最大间距不宜超过400m。吊装口净尺寸应满足管线、设备、人员进出的最小允许限界要求。
5.4.6 综合管廊进、排风口的净尺寸应满足通风设备进出的最小尺寸要求。
5.4.7 (本条删除)
5.4.7A 天然气管道舱的排风口、各类孔口应符合下列规定:
1 与其他舱室的排风口、进风口、人员出入口、逃生口以及周边建构筑物口部距离应不小于10m;
2 天然气管道舱各类孔口不得与其他舱室连通,并应设置安全警示标识。
5.4.8 露出地面的各类孔口盖板应设置在内部使用时易于人力开启,且在外部使用时非专业人员难以开启的安全装置。
条文说明
5.4.1A 原5.4.1条为强制性条文,在现行工程建设强制性国家规范《特殊设施工程项目规范》GB 55028-2022中未纳入,根据要求删除。综合管廊的吊装口、进排风口、人员出入口等节点设置是综合管廊必需的功能性要求。本次修订明确了采用明挖方式施工的综合管廊直接通向地面的人员出入口的水平间距,避免同安全出口直通地面的要求混淆。鉴于采用非开挖方式施工的综合管廊影响因素多,尤其是穿越河流、湖泊时,直通地面的人员出入口不易设置,所以采用非开挖方式施工的综合管廊不受此限制。
5.4.2 综合管廊的吊装口、进排风口、人员出入口等节点设置是综合管廊必需的功能性要求。这些口部由于需要露出地面,往往会形成地面水倒灌的通道,为了保证综合管廊的安全运行,应当采取技术措施确保在道路积水期间地面水不会倒灌进管廊。
5.4.3 综合管廊人员出入口宜与吊装口功能整合,设置爬梯,便于维护人员进出。
5.4.4 本条对综合管廊逃生口的设置作了规定。
1 设置逃生口是保证进入人员的安全,考虑到电力舱室火灾特征和综合管廊节点布局的特征,从火灾区域逃离至临近防火区间,或其他内部安全空间,即认为完成逃生。因此,对敷设电力电缆舱室的直通地面的逃生口间距可加大,由200m改为400m,适当增大逃生口间距。
3 设置逃生口是保证进入人员的安全,蒸汽管道发生事故时对人的危险性较大,因此规定综合管廊敷设有输送介质为蒸汽的管道的舱室逃生口间距比较小。
5 逃生口尺寸是考虑消防人员救援进出的需要。
5.4.5 由于综合管廊内空间较小,管道运输距离不宜过大,根据各类管线安装敷设运输要求,综合确定吊装口间距不宜大于400m。吊装口的尺寸应根据各类管道(管节)及设备尺寸确定,一般刚性管道按照6m长度考虑,电力电缆需考虑其入廊时的转弯半径要求,有检修车进出的吊装口尺寸应结合检修车的尺寸确定。
5.4.7A 原5.4.7条为强制性条文,在现行工程建设强制性国家规范《特殊设施工程项目规范》GB 55028-2022中未纳入,根据要求删除。参照日本《共同沟设计指针》第5.9.1条自然通风口中:“燃气隧洞的通风口应该是与其他隧洞的通风口分离的结构。”第5.9.2条强制通风口中:“燃气隧洞的通风口应该与其他隧洞的通风口分开设置”。为了避免天然气管道舱内正常排风和事故排风中的天然气气体进入其他舱室,并可能聚集引起的危险,作出水平间距10m规定。
为避免天然气泄漏后,进入其他舱室,天然气舱的各口部及集水坑等应与其他舱室的口部及集水坑分隔设置。并在适当位置设置明显的标示提醒相关人员注意。
本次修订增加了天然气管道舱排风口与其他舱室逃生口的间距要求,避免逃生口因有害气体聚集而导致无法实现人员逃生。
5.4.8 对盖板作出技术规定,主要是为了实现防盗安保功能要求。同时满足紧急情况下人员可由内部开启方便逃生的需要。
6.1.1 (本条删除)
6.1.1A 管线设计应符合本标准第5章的有关规定。
6.1.2 纳入综合管廊的金属管道应进行防腐设计。
6.1.3 管线配套检测设备、控制执行机构或监控系统应设置与综合管廊监控与报警系统联通的信号传输接口。
条文说明
6.1.1A 原6.1.1条为强制性条文,在现行工程建设强制性国家规范《特殊设施工程项目规范》GB55028—2022中未纳入,根据要求删除。综合管廊内的管线应进行专项设计,并应满足本标准第5章相关规定。
6.1.3 本条规定目的是综合管廊管理单位能够对综合管廊和管廊内管线全面管理。当出现紧急情况时,经专业管线单位确认,综合管廊管理单位可对管线配套设备进行必要的应急控制。
6.2.1 给水、再生水管道设计应符合现行国家标准《室外给水设计规范》GB 50013和《污水再生利用工程设计规范》GB 50335的有关规定。
6.2.2 给水、再生水管道可选用钢管、球墨铸铁管、塑料管等。接口宜采用刚性连接,钢管可采用沟槽式连接。
6.2.3 管道支撑的形式、间距、固定方式应通过计算确定,并应符合现行国家标准《给水排水工程管道结构设计规范》GB 50332的有关规定。
条文说明
6.2.2 本条是关于管材和接口的规定。为保证管道运行安全,减少支墩所占空间,规定一般采用刚性接口。管道沟槽式连接又称为卡箍连接,具有柔性特点,使管路具有抗震动、抗收缩和膨胀的能力,便于安装拆卸。
《城市综合管廊工程技术标准》GB/T50838-2015(2024年版)
6.3.1 雨水管渠、污水管道设计应符合现行国家标准《室外排水设计规范》GB 50014的有关规定。
6.3.2 雨水管渠、污水管道应按规划最高日最高时设计流量确定其断面尺寸,并应按近期流量校核流速。
6.3.3 排水管渠进入综合管廊前,应设置检修闸门或闸槽。
6.3.4 雨水、污水管道可选用钢管、球墨铸铁管、塑料管等。压力管道宜采用刚性接口,钢管可采用沟槽式连接。
6.3.5 雨水、污水管道支撑的形式、间距、固定方式应通过计算确定,并应符合现行国家标准《给水排水工程管道结构设计规范》GB 50332的有关规定。
6.3.6 雨水、污水管道系统应严格密闭。管道应进行功能性试验。
6.3.7 雨水、污水管道的通气装置应直接引至综合管廊外部安全空间,并应与周边环境相协调。
6.3.8 雨水、污水管道的检查及清通设施应满足管道安装、检修、运行和维护的要求。重力流管道并应考虑外部排水系统水位变化、冲击负荷等情况对综合管廊内管道运行安全的影响。
6.3.9 利用综合管廊结构本体排除雨水时,雨水舱结构空间应完全独立和严密,并应采取防止雨水倒灌或渗漏至其他舱室的措施。
条文说明
6.3.2 进入综合管廊的排水管渠断面尺寸一般较大,增容安装施工难度高,应按规划最高日最高时设计流量确定其断面尺寸,与综合管廊同步实施。同时需按近期流量校核流速,防止管道流速过缓造成淤积。
6.3.3 雨水管渠、污水管道进入综合管廊前设置检修闸门、闸槽或沉泥井等设施,有利于管渠的事故处置及维修。有条件时,雨水管渠进入综合管廊前宜截流初期雨水。
6.3.4 关于管材和接口的规定:为保证综合管廊的运行安全,应适当提高进入综合管廊的雨水、污水管道管材选用标准,防止意外情况发生损坏雨水、污水管道。为保证管道运行安全,减少支墩所占空间,规定一般采用刚性接口。管道沟槽式连接又称为卡箍连接,具有柔性特点,使管路具有抗震动、抗收缩和膨胀的能力,便于安装拆卸。
6.3.6 由于雨水、污水管道在运行过程中不可避免的会产生H2S、沼气等有毒有害及可燃气体,如果这些气体泄漏至管廊舱室内,存在安全隐患;同时雨水、污水泄漏也会对管廊的安全运营和维护产生不利影响,因此要求进入综合管廊的雨水、污水管道必须保证其系统的严密性。管道、附件及检查设施等应采用严密性可靠的材料,其连接处密封做法应可靠。
排水管渠严密性试验参考现行国家标准《给水排水管道工程施工及验收规范》GB 50268相关条文,压力管道参照给水管道部分,雨水管渠参照污水管道部分。
6.3.7 压力流管道高点处设置的排气阀及重力流管道设置的排气井(检查井)等通气装置排出的气体,应直接排至综合管廊以外的大气中,其引出位置应协调考虑周边环境,避开人流密集或可能对环境造成影响的区域。
6.3.8 压力流排水管道的检查口和清扫口等应根据需要设置,具体做法可参考现行国家标准《建筑给水排水设计规范》GB 50015相关条文。
管廊内重力流排水管道的运行有可能受到管廊外上、下游排水系统水位波动变化、突发冲击负荷等情况的影响,因此应适当提高进入综合管廊的雨水、污水管道强度标准,保证管道运行安全。条件许可时,可考虑在管廊外上、下游雨水系统设置溢流或调蓄设施以避免对管廊的运行造成危害。
6.4.1 天然气管道设计应符合现行国家标准《城镇燃气设计规范》GB 50028的有关规定。
6.4.2 (本条删除)
6.4.2A 敷设于综合管廊内的天然气管道应采用钢管,管道附件应与管道同材质,管道连接应采用焊接,并应符合现行国家标准《城镇燃气设计规范》GB50028的有关规定。
6.4.3 天然气管道的连接应采用焊接,焊缝检测要求应符合表6.4.3的规定。
表6.4.3 焊缝检测要求
注:1 射线检验符合现行行业标准《承压设备无损检测 第2部分:射线检测》JB/T 4730.2规定的Ⅱ级(AB级)为合格。
2 超声波检验符合现行行业标准《承压设备无损检测 第3部分:超声检测》JB/T 4730.3规定的Ⅰ级为合格。
6.4.4 天然气管道支撑的形式、间距、固定方式应通过计算确定,并应符合现行国家标准《城镇燃气设计规范》GB 50028的有关规定。
6.4.5 综合管廊内天然气管道的阀门、阀件应按其最高工作压力提高一个压力等级设计选型。
6.4.6 (本条删除)
6.4.6A 天然气调压设施应设置在综合管廊外部,且应符合现行工程建设强制性国家规范《燃气工程项目规范》GB 55009的有关规定。
6.4.7 天然气管道分段阀宜设置在综合管廊外部。当分段阀设置在综合管廊内部时,应具有远程关闭功能。
6.4.8 天然气管道进出综合管廊时应设置具有远程关闭功能的紧急切断阀。
6.4.9 天然气管道进出综合管廊附近的埋地管线、放散管、天然气设备等均应满足防雷、防静电接地的要求。
条文说明
6.4.2A 原6.4.2条为强制性条文,在现行工程建设强制性国家规范《特殊设施工程项目规范》GB55028—2022中未纳入,根据要求删除。参照现行国家标准《城镇燃气设计规范》GB50028—2006中第6.3.1、6.3.2、10.2.23条规定,为确保天然气管道及综合管廊的安全,做出此规定。钢管标准根据现行国家标准《城镇燃气设计规范》GB50028—2006,可选择GB/T9711、GB8163或不低于这两个标准的无缝钢管。
6.4.3 天然气管道泄漏是造成燃烧及爆炸事故的根源,为保证纳入综合管廊后的安全,对天然气管道的探伤提出严格要求。
6.4.5 为提高天然气管道敷设于综合管廊内的安全性和可靠性,对天然气管道的阀门、阀件的选型,在设计最高工作压力的基础上再提高一个压力等级。
6.4.6A 原第6.4.6条为强制性条文,在现行工程建设强制性国家规范《特殊设施工程项目规范》GB 55028-2022中未纳入,根据要求删除。根据国家现行标准《城镇燃气设计规范》GB 50028-2006中第6.6.2条第5款对天然气调压站的规定:“当受到地上条件限制,且调压装置进口压力不大于0.4MPa时,可设置在地下单独的建筑物内或地下单独的箱体内,并应符合6.6.14条和6.6.5条的要求”入廊天然气压力范围为4.0MPa以下,即有可能出现天然气次高压调压至中压的情况出现,不符合国家现行标准《城镇燃气设计规范》GB50028-2006第6.6.2条的规定。考虑到天然气调压装置危险性高,规定各种压力的调压装置均不应设置在综合管廊内。为保障天然气管线入廊安全,降低天然气在管廊内的泄漏风险,本条在现行工程建设强制性国家规范《燃气工程项目规范》GB 55009-2021中第5.2节对天然气调压设施规定的基础上,明确提出调压设施应设置在管廊外部。
6.4.7 为减少释放源,应尽可能不在天然气管道舱内设置阀门。远程关闭阀门由天然气管线主管部门负责。其监测控制信号应上传天然气管线主管部门,同时传一路监视信号至管廊控制中心便于协同。
6.4.8 紧急切断阀远程关闭阀门由天然气管线主管部门负责。其监视控制信号应上传天然气管线主管部门,同时传一路监视信号至管廊控制中心便于协同。
6.5.1 热力管道应采用钢管、保温层及外护管紧密结合成一体的预制管。
6.5.2 管道附件必须进行保温。
6.5.3 敷设在综合管廊内的热力管道应符合下列规定:
1 热水介质设计温度应小于或等于200℃,蒸汽介质设计温度应小于或等于350℃;
2 设计压力应小于或等于1.6MPa;
3 在设计工况下管道及附件保温结构的外表面计算温度不应超过50℃,计算温度降不应大于0.1℃/km;
4 保温设计应符合现行国家标准《设备及管道绝热技术通则》GB/T 4272、《设备及管道绝热设计导则》GB/T 8175和《工业设备及管道绝热工程设计规范》GB 50264的有关规定。
6.5.4 当同舱敷设的其他管线有正常运行所需环境温度限制要求时,应按舱内温度限定条件校核保温层厚度。
6.5.5 (本条删除)
6.5.5A 热力管道放气装置应设置在综合管廊外部安全空间,且应设置防止人员接近的隔离设施。
6.5.6 热力管道设计应符合现行行业标准《城镇供热管网设计规范》CJJ 34和《城镇供热管网结构设计规范》CJJ 105的有关规定。
6.5.7 热力管道及配件保温材料应采用难燃材料或不燃材料。
条文说明
6.5.1 作为市政基础设施的供热管网,对管道的可靠性的要求比较高,因此对进入综合管廊的热力管道提出了较高的要求。取消具体的产品要求,按照国家相关标准执行,操作性更强。
6.5.2 本条规定主要降低管道附件的散热,控制舱室的环境温度。
6.5.3 本条规定系参照现行国家标准《设备及管道绝热技术通则》GB/T 4272的规定,同时为了更好地控制管廊内的环境要求以便于日常维护管理,本规范规定管道及附件保温结构的表面温度不得超过50℃。
根据现行行业标准《城镇供热管网设计标准》CJJ/T34—2022第1.0.2条“本标准适用于设计压力小于或等于2.5MPa,热水介质设计温度小于或等于200℃、蒸汽介质设计温度小于或等于350℃。”与原条文相比本次修订提出了更具体的要求,操作性更强。
根据现行工程建设强制性国家规范《供热工程项目规范》GB55010—2021第4.1.9条“供热管道应采取保温措施。在设计工况下,室外直埋、架空敷设及室内安装的供热管道保温结构外表面计算温度不应高于50℃;热水供热管网输送干线的计算温度降不应大于0.1℃/km。”本条依据现行国家标准提出更明确的规定。
6.5.4 本条规定主要是考虑确保同舱敷设的其他管线的安全可靠运行。
6.5.5A 原6.5.5条为强制性条文,在现行工程建设强制性国家规范《特殊设施工程项目规范》GB55028—2022中未纳入,根据要求删除。本条规定主要是控制舱室内环境温度及确保安全,要求蒸汽管道排气管将蒸汽引至综合管廊外部。提出排气管要设置防止人员接近的隔离设施,要求更加明确。
6.6.1 (本条删除)
6.6.1A 敷设在综合管廊内的电力电缆应符合现行工程建设强制性国家规范《建筑防火通用规范》GB 55037的有关规定。500kV以上的超高压电力电缆和特高压电力电缆不宜敷设在综合管廊内。
6.6.2 综合管廊内的电力电缆敷设应符合下列规定:
1 电力电缆接头处应设置防爆盒等防爆燃措施;
2 在电力电缆接头两侧各约3m区段和该范围内临近并行敷设的其他电缆上,应采用防火涂料或阻火包进行防火分隔。
6.6.3 电力电缆敷设安装应按支架形式设计,并应符合现行国家标准《电力工程电缆设计规范》GB 50217和《交流电气装置的接地设计规范》GB/T 50065的有关规定。
条文说明
6.6.1A 原6.6.1条为强制性条文,在现行工程建设强制性国家规范《特殊设施工程项目规范》GB55028—2022中未纳入,根据要求删除。综合管廊电力电缆一般成束敷设,为了减少电缆可能着火蔓延导致严重事故后果,要求综合管廊内的电力电缆具备阻燃特性或不燃特性。
本条修改依据现行工程建设强制性国家规范《建筑防火通用规范》GB55037—2022,第10.2.2条规定,地铁工程中的地下电力电缆和数据通信线缆、城市综合管廊工程中的电力电缆,应采用燃烧性能不低于B1级的电缆或阻燃型电线。
明确综合管廊可敷设电缆的电压等级和不适宜敷设的电缆电压等级。实际工程中,廊内敷设电缆多为220kV及以下中高压电压等级,城区内部超高压、特高压电缆敷设需求较少。如,上海世博电力隧道敷设有500kV超高压电缆,宁波、深圳等地也在研究500kV超高压电缆入廊,随着技术发展,超高压电力入廊敷设技术将得以解决。
6.6.2 电力电缆发生火灾主要是由于电力线路过载引起电缆温升超限,尤其在电缆接头处影响最为明显,最易发生火灾事故。为确保综合管廊安全运行,根据现行国家标准《电力工程电缆设计标准》GB50217进行调整。
电力电缆在综合管廊内的主要火灾特征是接头爆燃,由于接头爆炸引起高温绝缘胶皮溅落在临近的电力表面,引起二次燃烧。为避免接头爆燃产生次生灾害,一是做好接头防爆燃措施,目前主要是防爆盒的形式;二是做好接头两侧电缆的防护。虽然入廊电缆为阻燃电缆,但是在实际工程中,仍然出现燃烧现象,国内相关的火灾实验也证明了这一点,因而需要加强防护。
6.7.1 通信线缆应采用阻燃线缆。
6.7.2 通信线缆敷设安装应按桥架形式设计,并应符合国家现行标准《综合布线系统工程设计规范》GB 50311和《光缆进线室设计规定》YD/T 5151的有关规定。
《城市综合管廊工程技术标准》GB/T50838-2015(2024年版)
7.1.1 (本条删除)
7.1.1A 综合管廊消防系统应符合现行工程建设强制性国家规范《建筑防火通用规范》GB 55037中与综合管廊有关的规定。
1 敷设有下列管线的综合管廊舱室火灾危险性类别应符合表7.1.1的规定;
表7.1.1 综合管廊舱室火灾危险性类别
2 当舱室内含有两类及以上管线时,舱室火灾危险性类别应按火灾危险性较大的管线确定。
7.1.2 综合管廊各舱室应根据火灾危险性类别,结合附属设施的设置、火灾概率及其特点等因素,可采取下列一种或多种防火措施:
1 设置防火构造;
2 阻燃防护和防止延燃;
3 设置消防器材;
4 设置火灾自动报警系统。
7.1.3 综合管廊主结构体应为耐火极限不低于3.0h的不燃性结构。
7.1.4 综合管廊内不同舱室之间应采用耐火极限不低于3.0h的不燃性结构进行分隔。
7.1.5 除嵌缝材料外,综合管廊内装修材料应采用不燃材料。
7.1.6 (本条删除)
7.1.6A 当综合管廊监控中心、变电站与综合管廊采用人行通道直接连通时,应在临近监控中心、变电站的端部设置甲级防火门。
7.1.7 综合管廊交叉口及各舱室交叉部位应采用耐火极限不低于3.0h的不燃性墙体进行防火分隔,当有人员通行需求时,防火分隔处的门应采用甲级防火门,管线穿越防火隔断部位应采用阻火包等防火封堵措施进行严密封堵。在电力电缆贯穿综合管廊墙体的孔洞处,应实施防火封堵。防火封堵组件的耐火极限不应低于3.0h。
7.1.8 综合管廊内应在人员出入口、逃生口、配电夹层等处配置2具不小于3kg的手提式干粉灭火器。
7.1.9 干线综合管廊中容纳电力电缆的舱室,支线综合管廊中容纳6根及以上电力电缆的舱室应设置火灾自动报警系统。
7.1.10 综合管廊内的电缆防火与阻燃应符合国家现行标准《电力工程电缆设计规范》GB 50217和《电力电缆隧道设计规程》DL/T 5484及《阻燃及耐火电缆 塑料绝缘阻燃及耐火电缆分级和要求 第1部分:阻燃电缆》GA 306.1和《阻燃及耐火电缆 塑料绝缘阻燃及耐火电缆分级和要求 第2部分:耐火电缆》GA 306.2的有关规定。
条文说明
7.1.1A 原7.1.1条为强制性条文,在现行工程建设强制性国家规范《特殊设施工程项目规范》GB55028—2022中未纳入,根据要求删除。规定了综合管廊的火灾危险性分类原则。综合管廊舱室火灾危险性根据综合管廊内敷设的管线类型、材质、附件等,依据现行国家标准《建筑设计防火规范》GB50016有关火灾危险性分类的规定确定。现行工程建设强制性国家规范《建筑防火通用规范》GB55037—2022中,针对综合管廊消防、防火等内容作了相关规定,本次修订增加相关表述,引述相关规定内容。
7.1.2 根据我国综合管廊工程建设和运营的经验,采取“预防为主、防消结合”的原则,根据不同条件,采用相应的消防措施。
7.1.3 参照国家标准《建筑设计防火规范》GB 50016-2014第3.2.1条规定。由于综合管廊一般为钢筋混凝土结构或砌体结构,能够满足建筑构件的燃烧性能和耐火极限要求。
7.1.6A 根据工程实践,按照重点设防的原则,在综合管廊监控中心、变电站与综合管廊采用人行通道直接连通时,提出应设置甲级防火门的要求。
7.1.7 综合管廊交叉口部位分布有各类管线,为了管线运行安全,有必要将交叉口部位与标准段采用防火隔断进行分隔。按照重点设防的原则,增加了电力电缆穿越孔口的防火要求。
7.1.8 明确了综合管廊内应在人员出入口、安全出口、电缆夹层等配置2具不小于3kg的手提式干粉灭火器具体要求。
7.1.9 根据工程实践,综合管廊全线设置自动灭火系统成本较高,后期运行维护不便,按照重点设防的原则,随着智慧电网的技术进步,电力线缆火灾发生概率极低,本次修订不再规定设置自动灭火系统,在设置火灾自动报警系统的基础上,加强了防火措施,能够保障综合管廊的安全运营。
7.2.1 综合管廊宜采用自然进风和机械排风相结合的通风方式。天然气管道舱和含有污水管道的舱室应采用机械进、排风的通风方式。
7.2.2 综合管廊的通风量应根据通风区间、截面尺寸并经计算确定,且应符合下列规定:
1 干线综合管廊和支线综合管廊宜采用机械通风形式,正常通风换气次数不应小于2次/h,事故通风换气次数不应小于6次/h。
2 小型综合管廊可采用自然通风形式,事故通风可采用临时通风设施满足换气次数。
7.2.3 综合管廊的通风口处出风风速不宜大于5m/s。
7.2.4 综合管廊的通风口应加设防止小动物进入的金属网格,网孔净尺寸不应大于10mm×10mm。
7.2.5 综合管廊的通风设备应符合节能环保要求。天然气管道舱风机应采用防爆风机。
7.2.6 当综合管廊内空气温度高于40℃或需进行线路检修时,应开启排风机,并应满足综合管廊内环境控制的要求。
7.2.7 综合管廊舱室内发生火灾时,发生火灾的防火分区及相邻分区的通风设备应能够自动关闭。
7.2.8 (本条删除)
条文说明
7.2.1 综合管廊的通风主要是保证综合管廊内部空气的质量,应以自然通风为主,机械通风为辅。但是天然气管道舱和含有污水管道的舱室,由于存在可燃气体泄漏的可能,需及时快速将泄漏气体排出,因此采用强制通风方式。
7.2.2 设置机械通风装置是防止爆炸性气体混合物形成或缩短爆炸性气体混合物滞留时间的有效措施之一。通风设备应在天然气浓度检测报警系统发出报警或起动指令时及时可靠地联动,排除爆炸性气体混合物,降低其浓度至安全水平。同时注意进风口不要设置在有可燃及腐蚀介质排放处附近或下风口,排风口排出的空气附近应无可燃物质及腐蚀介质,避免引起次生事故。
根据对综合管廊工程的调研发现,目前综合管廊通风风机装机数量过大,不符合绿色发展理念。天然气管道敷设于综合管廊内,提高了天然气管道、阀门的质量要求,极大地提供了天然气管道的安全性。同时,天然气管道的调压装置不设置在综合管廊内,发生天然气泄漏的几率非常低。综合考虑,本次修订取消了天然气管道舱通风换气次数的特殊要求。补充了小型综合管廊可采用的通风方式和事故情况下的通风措施。
7.3.1 综合管廊供配电系统接线方案、电源供电电压、供电点、供电回路数、容量等应依据综合管廊建设规模、周边电源情况、综合管廊运行管理模式,并经技术经济比较后确定。
7.3.2 综合管廊的消防设备、监控与报警设备、应急照明设备应按现行国家标准《供配电系统设计规范》GB 50052规定的二级负荷供电。天然气管道舱的监控与报警设备、管道紧急切断阀、事故风机应按二级负荷供电,且宜采用两回线路供电;当采用两回线路供电有困难时,应另设置备用电源。其余用电设备可按三级负荷供电。
7.3.3 综合管廊附属设备配电系统应符合下列规定:
1 综合管廊内的低压配电应采用交流220V/380V系统,系统接地型式应为TN-S制,并宜使三相负荷平衡;
2 综合管廊应以防火分区作为配电单元,各配电单元电源进线截面应满足该配电单元内设备同时投入使用时的用电需要;
3 设备受电端的电压偏差:动力设备不宜超过供电标称电压的±5%,照明设备不宜超过+5%、-10%;
4 应采取无功功率补偿措施;
5 应在各供电单元总进线处设置电能计量测量装置。
7.3.4 综合管廊内电气设备应符合下列规定:
1 电气设备防护等级应适应地下环境的使用要求,应采取防水防潮措施,防护等级不应低于IP54;
2 电气设备应安装在便于维护和操作的地方,不应安装在低洼、可能受积水浸入的地方;
3 电源总配电箱宜安装在管廊进出口处;
4 天然气管道舱内的电气设备应符合现行国家标准《爆炸危险环境电力装置设计规范》GB 50058有关爆炸性气体环境2区的防爆规定。
7.3.5 综合管廊内应设置交流220V/380V带剩余电流动作保护装置的检修插座,插座沿线间距不宜大于60m。检修插座容量不宜小于15kW,安装高度不宜小于0.5m。天然气管道舱内的检修插座应满足防爆要求,且应在检修环境安全的状态下送电。
7.3.6 非消防设备的供电电缆、控制电缆应采用阻燃电缆,火灾时需继续工作的消防设备应采用耐火电缆或不燃电缆。天然气管道舱内的电气线路不应有中间接头,线路敷设应符合现行国家标准《爆炸危险环境电力装置设计规范》GB 50058的有关规定。
7.3.7 综合管廊每个分区的人员进出口处宜设置本分区通风、照明的控制开关。
7.3.8 综合管廊接地应符合下列规定:
1 综合管廊内的接地系统应形成环形接地网,接地电阻不应大于1Ω。
2 综合管廊的接地网宜采用热镀锌扁钢,且截面面积不应小于40mm×5mm。接地网应采用焊接搭接,不得采用螺栓搭接。
3 综合管廊内的金属构件、电缆金属套、金属管道以及电气设备金属外壳均应与接地网连通。
4 含天然气管道舱室的接地系统尚应符合现行国家标准《爆炸危险环境电力装置设计规范》GB 50058的有关规定。
7.3.9 综合管廊地上建(构)筑物部分的防雷应符合现行国家标准《建筑物防雷设计规范》GB 50057的有关规定;地下部分可不设置直击雷防护措施,但应在配电系统中设置防雷电感应过电压的保护装置,并应在综合管廊内设置等电位联结系统。
条文说明
7.3.1 综合管廊系统一般呈现网络化布置,涉及的区域比较广。其附属用电设备具有负荷容量相对较小而数量众多、在管廊沿线呈带状分散布置的特点。按不同电压等级电源所适用的合理供电容量和供电距离,一座管廊可采用由沿线城市公网分别直接引入多路0.4kV电源进行供电的方案,也可以采用集中一处由城市公网提供中压电源,如10kV电源供电的方案。管廊内再划分若干供电分区,由内部自建的10kV配变电所供配电。不同电源方案的选取与当地供电部门的公网供电营销原则和综合管廊产权单位性质有关,方案的不同直接影响到建设投资和运行成本,故需做充分调研工作,根据具体条件经综合比较后确定经济合理的供电方案。
7.3.2 天然气泄漏将会给综合管廊带来严重的安全隐患,所以管廊中含天然气管道舱室的监控与报警系统应能持续地进行环境检测、数据处理与控制工作。当监测到泄露浓度超限时,事故风机应能可靠起动、天然气管道紧急切断阀应能可靠关闭。参照现行国家标准《供配电系统设计规范》GB 50052有关负荷分级规定,故将含天然气管道舱室的监控与报警设备、管道紧急切断阀、事故风机定为二级负荷。
7.3.3 根据综合管廊系统特点制定附属设施配电要求:
1 由于管廊空间相对狭小,附属设备的配电采用PE与N分隔的TN-S系统,有利减少对人员的间接电击危害,减少对电子设备的干扰,便于进行总等电位联结。
2 综合管廊每个防火分区一般均配有各自的进出口、通风、照明、消防设施,将防火分区划作供电单元可便于供电管理和消防时的联动控制。由于综合管廊存在后续各专业管线、电缆等工艺设备的安装敷设,故有必要考虑作业人员同时开启通风、照明等附属设施的可能。
3 受电设备端电压的电压偏差直接影响到设备功能的正常发挥和使用寿命,本条款选用通用设备技术数据。以长距离带状为特点的管廊供电系统中,应校验线路末端的电压损失不超过规定要求。
4 应采取无功功率补偿措施;使电源总进线处功率因数满足当地供电部门要求。
7.3.4 本条根据综合管廊布置情况对电气设备提出要求。
2 管廊敷设有大量管线、电缆,空间一般紧凑狭小,附属设备及其配电屏、控制箱的安装布置位置应满足设备进行维护、操作对空间的要求,并尽可能不妨碍管廊管线、电缆的敷设。管廊内含有水管时,存在爆管水淹的事故可能,电气设备的安装应考虑这一因素,在处理事故用电完成之前应不受浸水影响。
4 敷设在管廊中的天然气管道管法兰、阀门等属于现行国家标准《爆炸危险环境电力装置设计规范》GB 50058规定的二级释放源,在通风条件符合规范规定的情况下该区域可划为爆炸性气体环境2区,在该区域安装的电气设备应符合《爆炸危险环境电力装置设计规范》GB 50058的相关规定。
7.3.5 设置检修插座的目的主要考虑到综合管廊管道及其设备安装时的动力要求。根据电焊机的使用情况,其一二次电缆长度一般不超过30m,以此确定临时接电用插座的设置间距。
为了减少爆炸性气体环境中爆炸危险的诱发可能性,在含天然气管线舱室内一般不宜设置插座类电器。当必须设置检修插座时,插座必须采用防爆型,在检修工况且舱内泄漏气体浓度低于爆炸下限值的20%时,才允许向插座回路供电。
7.3.6 同本规范第7.3.4条第4款,在含天然气管线舱室敷设的电气线路应符合现行国家标准《爆炸危险环境电力装置设计规范》GB 50058的相关规定。
7.3.7 人员在进入某段管廊时,一般需先行进行换气通风、开启照明,故需在入口设置开关。每区段的各出入口均安装开关,可以方便巡检人员在任意一出入口离开时均能及时关闭本段通风或照明,以利节能。
7.3.8 综合管廊的接地应满足各类管线的接地需求:
1 综合管廊接地装置接地电阻值应符合现行国家标准《交流电气装置的接地设计规范》GB/T 50065的有关规定。当接地电阻值不满足要求时,可通过经济技术比较增大接地电阻,并校验接触电位差和跨步电位差,且综合接地电阻应不大于1Ω。
4 同本规范第7.3.4条第4款,含天然气管线舱室的接地系统设置应符合现行国家标准《爆炸危险环境电力装置设计规范》GB 50058的相关规定。
7.4.1 综合管廊内应设正常照明和应急照明,并应符合下列规定:
1 综合管廊内人行道上的一般照明的平均照度不应小于15lx,最低照度不应小于5lx;出入口和设备操作处的局部照度可为100lx。监控室一般照明照度不宜小于300lx。
2 管廊内疏散应急照明照度不应低于5lx,应急电源持续供电时间不应小于60min。
3 监控室备用应急照明照度应达到正常照明照度的要求。
4 出入口和各防火分区防火门上方应设置安全出口标志灯,灯光疏散指示标志应设置在距地坪高度1.0m以下,间距不应大于20m。
7.4.2 综合管廊照明灯具应符合下列规定:
1 灯具应为防触电保护等级1类设备,能触及的可导电部分应与固定线路中的保护(PE)线可靠连接。
2 灯具应采取防水防潮措施,防护等级不宜低于IP54,并应具有防外力冲撞的防护措施。
3 灯具应采用节能型光源,并应能快速启动点亮。
4 安装高度低于2.2m的照明灯具应采用24V及以下安全电压供电。当采用220V电压供电时,应采取防止触电的安全措施,并应敷设灯具外壳专用接地线。
5 安装在天然气管道舱内的灯具应符合现行国家标准《爆炸危险环境电力装置设计规范》GB 50058的有关规定。
7.4.3 照明回路导线应采用硬铜导线,截面面积不应小于2.5mm²。线路明敷设时宜采用保护管或线槽穿线方式布线。天然气管线舱内的照明线路应采用低压流体输送用镀锌焊接钢管配线,并应进行隔离密封防爆处理。
条文说明
7.4.2 综合管廊通道空间一般紧凑狭小、环境潮湿,且其中需要进行管线的安装施工作业,施工人员或工具较易触碰到照明灯具。所以对管廊中灯具的防潮、防外力、防触电等要求提出具体规定。本条同本规范第7.3.4条第4款,在含天然气管线舱室安装的照明灯具应符合现行国家标准《爆炸危险环境电力装置设计规范》GB 50058的相关规定。
7.4.3 本条同本规范第7.3.4条第4款,在含天然气管线舱室敷设的照明电气线路应符合现行国家标准《爆炸危险环境电力装置设计规范》GB 50058的相关规定。
7.5.1 综合管廊监控与报警系统宜分为环境与设备监控系统、安全防范系统、通信系统、预警与报警系统、地理信息系统和统一管理信息平台等。
7.5.2 监控与报警系统的组成及其系统架构、系统配置应根据综合管廊建设规模、纳入管线的种类、综合管廊运营维护管理模式等确定。
7.5.3 监控、报警和联动反馈信号应送至监控中心。
7.5.4 综合管廊应设置环境与设备监控系统,并应符合下列规定:
1 应能对综合管廊内环境参数进行监测与报警。环境参数检测内容应符合表7.5.4的规定,含有两类及以上管线的舱室,应按较高要求的管线设置。气体报警设定值应符合国家现行标准《密闭空间作业职业危害防护规范》GBZ/T 205的有关规定。
表7.5.4 环境参数检测内容
注:●应监测;▲宜监测。
2 应对通风设备、排水泵、电气设备等进行状态监测和控制;设备控制方式宜采用就地手动、就地自动和远程控制。
3 应设置与管廊内各类管线配套检测设备、控制执行机构联通的信号传输接口;当管线采用自成体系的专业监控系统时,应通过标准通信接口接入综合管廊监控与报警系统统一管理平台。
4 环境与设备监控系统设备宜采用工业级产品。
5 H2S、CH4气体探测器应设置在管廊内人员出入口和通风口处。
7.5.5 综合管廊应设置安全防范系统,并应符合下列规定:
1 综合管廊内设备集中安装地点、人员出入口、变配电间和监控中心等场所应设置摄像机;综合管廊内沿线每个防火分区内应至少设置一台摄像机,不分防火分区的舱室,摄像机设置间距不应大于100m。
2 综合管廊人员出入口、通风口应设置入侵报警探测装置和声光报警器。
3 综合管廊人员出入口应设置出入口控制装置。
4 综合管廊应设置电子巡查管理系统,并宜采用离线式。
5 综合管廊的安全防范系统应符合现行国家标准《安全防范工程技术规范》GB 50348、《入侵报警系统工程设计规范》GB 50394、《视频安防监控系统工程设计规范》GB 50395和《出入口控制系统工程设计规范》GB 50396的有关规定。
7.5.6 综合管廊应设置通信系统,并应符合下列规定:
1 应设置固定式通信系统,电话应与监控中心接通,信号应与通信网络联通。综合管廊人员出入口或每一防火分区内应设置通信点;不分防火分区的舱室,通信点设置间距不应大于100m。
2 固定式电话与消防专用电话合用时,应采用独立通信系统。
3 宜设置用于对讲通话的无线信号覆盖系统。
7.5.7 综合管廊火灾自动报警系统应符合下列规定:
1 设有火灾自动报警系统的舱室应设置感烟火灾探测器,需要联动触发自动灭火系统启动的舱室应设置感温火灾探测器;
2 应设置防火门监控系统;
3 设置火灾探测器的场所应设置手动火灾报警按钮和火灾警报器,手动火灾报警按钮处宜设置电话插孔;
4 确认火灾后,防火门监控器应联动关闭常开防火门,消防联动控制器应能联动关闭着火分区及相邻分区通风设备、启动自动灭火系统;
5 应符合现行国家标准《火灾自动报警系统设计规范》GB 50116的有关规定。
7.5.8 天然气管道舱应设置可燃气体探测报警系统,并应符合下列规定:
1 天然气报警浓度设定值(上限值)不应大于其爆炸下限值(体积分数)的20%;
2 天然气探测器应接入可燃气体报警控制器;
3 当天然气管道舱天然气浓度超过报警浓度设定值(上限值)时,应由可燃气体报警控制器或消防联动控制器联动启动天然气舱事故段分区及其相邻分区的事故通风设备;
4 紧急切断低限报警设定值不应大于其爆炸下限值(体积分数)的40%;
5 (本款删除)
7.5.9 综合管廊宜设置地理信息系统,并应符合下列规定:
1 应具有综合管廊和内部各专业管线基础数据管理、图档管理、管线拓扑维护、数据离线维护、维修与改造管理、基础数据共享等功能;
2 应能为综合管廊报警与监控系统统一管理信息平台提供人机交互界面。
7.5.10 综合管廊应设置统一管理平台,并应符合下列规定:
1 应对监控与报警系统各组成系统进行系统集成,并应具有数据通信、信息采集和综合处理功能;
2 应与各专业管线配套监控系统联通;
3 应与各专业管线单位相关监控平台联通;
4 宜与城市基础设施地理信息系统联通或预留通信接口;
5 应具有可靠性、容错性、易维护性和可扩展性。
7.5.11 天然气管道舱内设置的监控与报警系统设备、安装与接线技术要求应符合现行国家标准《爆炸危险环境电力装置设计规范》GB 50058的有关规定。
7.5.12 监控与报警系统中的非消防设备的仪表控制电缆、通信线缆应采用阻燃线缆。消防设备的联动控制线缆应采用耐火线缆。
7.5.13 火灾自动报警系统布线应符合现行国家标准《火灾自动报警系统设计规范》GB 50116的有关规定。
7.5.14 监控与报警系统主干信息传输网络介质宜采用光缆。
7.5.15 综合管廊内监控与报警设备防护等级不宜低于IP65。
7.5.16 监控与报警设备应由在线式不间断电源供电。
7.5.17 监控与报警系统的防雷、接地应符合现行国家标准《火灾自动报警系统设计规范》GB 50116、《电子信息系统机房设计规范》GB 50174和《建筑物电子信息系统防雷技术规范》GB 50343的有关规定。
条文说明
7.5.4 本条规定了环境与设备监控系统设置应符合的要求。
1 雨水利用管廊本体独立的结构空间输送,可不对该空间环境参数进行监测。
3 本款说明同第6.1.3条条文说明。
7.5.7 根据以往电力隧道工程、综合管廊工程的运营经验,地下舱室火灾危险主要来自敷设的大量电力电缆,所以提出对敷设有电力电缆的管廊舱室进行火灾自动报警的规定,以及时发现处置火灾的发生。本处所指电力电缆不包括为综合管廊配套施设供电的少量电力电缆。
1 与现行国家标准《城镇综合管廊监控与报警系统工程技术标准》GB/T51274—2017第7.2.3条规定相协调,补充了应设置感烟火灾探测器、感温火灾探测器等附属设施的情况。
3 综合管廊内非公共场所,平时只有少量工作人员进行巡检工作,当有紧急情况时火灾警报器可以满足需要,所以可不设消防应急广播。
7.5.8 本次条款内容修改与现行国家标准《城镇综合管廊监控与报警系统工程技术标准》GB/T51274—2017第8.3.2条规定相协调。
7.5.10 本条规定了统一管理平台设置应符合的要求。
2 综合管廊及管廊内各专业管线单位建设前应根据实际情况确定并统一在线监控接入技术要求。
3 通过与各专业管线单位数据通信接口,各专业管线单位应将本专业管线运行信息、会影响到管廊本体安全或其他专业管线安全运行的信息,送至统一管理平台;统一管理平台应将监测到的与各专业管线运行安全有关信息,送至各专业管线公司。
《城市综合管廊工程技术标准》GB/T50838-2015(2024年版)
7.6.1 综合管廊内应设置自动排水系统。
7.6.2 综合管廊高程最低点处应设置集水坑。
7.6.3 综合管廊的低点应设置集水坑及自动水位排水泵。
7.6.4 综合管廊的底板宜设置排水明沟,并应通过排水明沟将综合管廊内积水汇入集水坑,排水明沟的坡度不应小于0.2%。
7.6.5 综合管廊的排水应就近接入城市排水系统,并应设置逆止阀。
7.6.6 天然气管道舱应设置独立集水坑。
7.6.7 综合管廊排出的废水温度不应高于40℃。
条文说明
7.6.1 综合管廊内的排水系统主要满足排出综合管廊的结构渗漏水、管道检修放空水的要求,未考虑管道爆管或消防情况下的排水要求。
7.6.2 明确综合管廊排水区间的纵向最低点应设置集水坑的要求。取消了原有的“排水区间长度不宜大于200m”的要求,可以优化排水系统。
7.6.4 为了将水流尽快汇集至集水坑,综合管廊内采用有组织的排水系统。一般在综合管廊的单侧或双侧设置排水明沟,综合考虑道路的纵坡设计和综合管廊埋深,排水明沟的纵向坡度不小于0.2%。
7.7.1 综合管廊的主出入口内应设置综合管廊介绍牌,并应标明综合管廊建设时间、规模、容纳管线。
7.7.2 纳入综合管廊的管线,应采用符合管线管理单位要求的标识进行区分,并应标明管线属性、规格、产权单位名称、紧急联系电话。标识应设置在醒目位置,间隔距离不应大于100m。
7.7.3 综合管廊的设备旁边应设置设备铭牌,并应标明设备的名称、基本数据、使用方式及紧急联系电话。
7.7.4 综合管廊内应设置“禁烟”、“注意碰头”、“注意脚下”、“禁止触摸”、“防坠落”等警示、警告标识。
7.7.5 综合管廊内部应设置里程标识,交叉口处应设置方向标识。
7.7.6 人员出入口、逃生口、管线分支口、灭火器材设置处等部位,应设置带编号的标识。
7.7.7 综合管廊穿越河道时,应在河道两侧醒目位置设置明确的标识。
条文说明
7.7.1 综合管廊的人员主出入口一般情况下指控制中心与综合管廊直接连接的出入口,在靠近控制中心侧,应当根据控制中心的空间布置,布置合适的介绍牌,对综合管廊的建设情况进行简要的介绍,以利于综合管廊的管理。
7.7.2 综合管廊内部容纳的管线较多,管道一般按照颜色区分或每隔一定距离在管道上标识。电(光)缆一般每隔一定间距设置铭牌进行标识。同时针对不同的设备应有醒目的标识。
8.1.1 综合管廊土建工程设计应采用以概率理论为基础的极限状态设计方法,应以可靠指标度量结构构件的可靠度。除验算整体稳定外,均应采用含分项系数的设计表达式进行设计。
8.1.2 综合管廊结构设计应对承载能力极限状态和正常使用极限状态进行计算。
8.1.3 (本条删除)
8.1.3A 综合管廊工程的结构工作年限应符合现行工程建设强制性国家规范《特殊设施工程项目规范》GB 55028的有关规定。
8.1.4 综合管廊结构应根据设计工作年限和环境类别进行耐久性设计,并应符合现行国家标准《混凝土结构耐久性设计规范》GB/T 50476的有关规定。
8.1.5 综合管廊工程应按乙类建筑物进行抗震设计,并应满足国家现行标准的有关规定。
8.1.6 综合管廊的结构安全等级应为一级,结构中各类构件的安全等级宜与整个结构的安全等级相同。
8.1.7 综合管廊结构构件的裂缝控制等级应为三级,结构构件的最大裂缝宽度限值应小于或等于0.2mm,且不得贯通。
8.1.8 综合管廊应根据气候条件、水文地质状况、结构特点、施工方法和使用条件等因素进行防水设计。
8.1.9 对埋设在历史最高水位以下的综合管廊,应根据设计条件计算结构的抗浮稳定。计算时不应计入综合管廊内管线和设备的自重,其他各项作用应取标准值,并应满足抗浮稳定性抗力系数不低于1.05。
8.1.10 预制综合管廊纵向节段的长度应根据节段吊装、运输等施工过程的限制条件综合确定。
条文说明
8.1.2 综合管廊结构设计应对承载能力极限状态和正常使用极限状态进行计算。
1 承载能力极限状态:对应于管廊结构达到最大承载能力,管廊主体结构或连接构件因材料强度被超过而破坏;管廊结构因过量变形而不能继续承载或丧失稳定;管廊结构作为刚体失去平衡(横向滑移、上浮)。
2 正常使用极限状态:对应于管廊结构符合正常使用或耐久性能的某项规定限值;影响正常使用的变形量限值;影响耐久性能的控制开裂或局部裂缝宽度限值等。
8.1.3A 现行强制性工程建设国家规范《特殊设施工程项目规范》GB55028—2022中,明确规定综合管廊结构设计工作年限,本条引述相关内容。
8.1.4 设计使用年限更改为设计工作年限,与现行工程建设强制性国家规范《特殊设施工程项目规范》GB55028的表述保持一致。
8.1.6 根据国家标准《建筑结构可靠度设计统一标准》GB 50068-2001第1.0.8条规定,建筑结构设计时,应根据结构破坏可能产生的后果(危及人的性命、造成经济损失、产生社会影响等)的严重性,采用不同的安全等级。综合管廊内容纳的管线为电力、给水等城市生命线,破坏后产生的经济损失和社会影响都比较严重,故确定综合管廊的安全等级为一级。
8.1.7 国家标准《混凝土结构设计规范》GB 50010-2010第3.3.3、3.3.4条将裂缝控制等级分为三级。根据国家标准《地下工程防水技术规范》GB 50108-2008第4.1.6条明确规定,裂缝宽度不得大于0.2mm,并不得贯通。
8.1.8 现行工程建设强制性国家规范《建筑与市政工程防水通用规范》GB55030—2022对综合管廊的防水有明确的规定。
8.1.10 预制综合管廊纵向节段的尺寸及重量不应过大。在构件设计阶段应考虑到节段在吊装、运输过程中受到的车辆、设备、安全、交通等因素的制约,并根据限制条件综合确定。
8.2.1 综合管廊工程中所使用的材料应根据结构类型、受力条件、使用要求和所处环境等选用,并应考虑耐久性、可靠性和经济性。主要材料宜采用高性能混凝土、高强钢筋。当地基承载力良好、地下水位在综合管廊底板以下时,可采用砌体材料。
8.2.2 钢筋混凝土结构的混凝土强度等级不应低于C30。预应力混凝土结构的混凝土强度等级不应低于C40。
8.2.3 地下工程部分宜采用自防水混凝土,设计抗渗等级应符合表8.2.3的规定。
表8.2.3 防水混凝土设计抗渗等级
8.2.4 用于防水混凝土的水泥应符合下列规定:
1 水泥品种宜选用硅酸盐水泥、普通硅酸盐水泥;
2 在受侵蚀性介质作用下,应按侵蚀性介质的性质选用相应的水泥品种。
8.2.5 用于防水混凝土的砂、石应符合现行国家标准《普通混凝土用砂、石质量及检验方法标准》JGJ 52的有关规定。
8.2.6 防水混凝土中各类材料的氯离子含量和含碱量(Na2O当量)应符合下列规定:
1 氯离子含量不应超过凝胶材料总量的0.1%。
2 采用无活性骨料时,含碱量不应超过3kg/m³;采用有活性骨料时,应严格控制混凝土含碱量并掺加矿物掺合料。
8.2.7 混凝土可根据工程需要掺入减水剂、膨胀剂、防水剂、密实剂、引气剂、复合型外加剂及水泥基渗透结晶型材料等,其品种和用量应经试验确定,所用外加剂的技术性能应符合国家现行标准的有关质量要求。
8.2.8 用于拌制混凝土的水,应符合现行国家标准《混凝土用水标准》JGJ 63的有关规定。
8.2.9 混凝土可根据工程抗裂需要掺入合成纤维或钢纤维,纤维的品种及掺量应符合国家现行标准的有关规定,无相关规定时应通过试验确定。
8.2.10 钢筋应符合现行国家标准《钢筋混凝土用钢 第1部分:热轧光圆钢筋》GB 1499.1、《钢筋混凝土用钢 第2部分:热轧带肋钢筋》GB 1499.2和《钢筋混凝土用余热处理钢筋》GB 13014的有关规定。
8.2.11 预应力筋宜采用预应力钢绞线和预应力螺纹钢筋,并应符合现行国家标准《预应力混凝土用钢绞线》GB/T 5224和《预应力混凝土用螺纹钢筋》GB/T 20065的有关规定。
8.2.12 用于连接预制节段的螺栓应符合现行国家标准《钢结构设计规范》GB 50017的有关规定。
8.2.13 纤维增强塑料筋应符合现行国家标准《结构工程用纤维增强复合材料筋》GB/T 26743的有关规定。
8.2.14 预埋钢板宜采用Ω235钢、Ω345钢,其质量应符合现行国家标准《碳素结构钢》GB/T 700的有关规定。
8.2.15 砌体结构所用材料的最低强度等级应符合表8.2.15的规定。
表8.2.15 砌体结构所用材料的最低强度等级
8.2.16 弹性橡胶密封垫的主要物理性能应符合表8.2.16的规定。
表8.2.16 弹性橡胶密封垫的主要物理性能
注:以上指标均为成品切片测试的数据,若只能以胶料制成试样测试,则其伸长率、拉伸强度的性能数据应达到本规定的120%。
8.2.17 遇水膨胀橡胶密封垫的主要物理性能应符合表8.2.17的规定。
表8.2.17 遇水膨胀橡胶密封垫的主要物理性能
注:1 *硬度为推荐项目。
2 成品切片测试应达到标准的80%。
3 接头部位的拉伸强度不低于上表标准性能的50%。
条文说明
8.2.6 综合管廊结构长期受地下水、地表水的作用,为改善结构的耐久性、避免碱骨料反应,应严格控制混凝土中氯离子含量和含碱量,在国家标准《混凝土结构设计规范》GB 50010-2010第3.5节中,有关于混凝土中总碱含量的限制。国家标准《地下工程防水技术规范》GB 50108-2008第4.1.14条中,对防水混凝土总碱含量予以限制。主要是由于地下混凝土工程长期受地下水、地表水的作用,如果混凝土中水泥和外加剂中含碱量高,遇到混凝土中的集料具有碱活性时,即有引起碱骨料反应的危险,因此在地下工程中应对所用的水泥和外加剂的含碱量有所控制。控制的标准同国家标准《地下工程防水技术规范》GB 50108-2008第4.1.14条和《混凝土结构耐久性设计规范》GB/T 50476附录8.2的有关规定。
8.3.1 综合管廊结构上的作用,按性质可分为永久作用和可变作用。
8.3.2 结构设计时,对不同的作用应采用不同的代表值。永久作用应采用标准值作为代表值;可变作用应根据设计要求采用标准值、组合值或准永久值作为代表值。作用的标准值应为设计采用的基本代表值。
8.3.3 当结构承受两种或两种以上可变作用时,在承载力极限状态设计或正常使用极限状态按短期效应标准值设计时,对可变作用应取标准值和组合值作为代表值。
8.3.4 当正常使用极限状态按长期效应准永久组合设计时,对可变作用应采用准永久值作为代表值。
8.3.5 结构主体及收容管线自重可按结构构件及管线设计尺寸计算确定。常用材料及其制作件的自重可按现行国家标准《建筑结构荷载规范》GB 50009的规定采用。
8.3.6 预应力综合管廊结构上的预应力标准值,应为预应力钢筋的张拉控制应力值扣除各项预应力损失后的有效预应力值。张拉控制应力值应按现行国家标准《混凝土结构设计规范》GB 50010的有关规定确定。
8.3.7 建设场地地基土有显著变化段的综合管廊结构,应计算地基不均匀沉降的影响,其标准值应按现行国家标准《建筑地基基础设计规范》GB 50007的有关规定计算确定。
8.3.8 制作、运输和堆放、安装等短暂设计状况下的预制构件验算,应符合现行国家标准《混凝土结构工程施工规范》GB 50666的有关规定。
条文说明
8.3.1 综合管廊结构上的作用,按性质可分为永久作用和可变作用。
1 永久作用包括结构自重、土压力、预加应力、重力流管道内的水重、混凝土收缩和徐变产生的荷载、地基的不均匀沉降等。
2 可变作用包括人群载荷、车辆载荷、管线及附件荷载、压力管道内的静水压力(运行工作压力或设计内水压力)及真空压力、地表水或地下水压力及浮力、温度作用、冻胀力、施工荷载等。
作用在综合管廊结构上的荷载须考虑施工阶段以及使用过程中荷载的变化,选择使整体结构或预制构件应力最大、工作状态最为不利的荷载组合进行设计。地面的车辆荷载一般简化为与结构埋深有关的均布荷载,但覆土较浅时应按实际情况计算。
8.3.4 可变作用准永久值为可变作用的标准值乘以作用的准永久值系数。
8.3.7 综合管廊属于狭长形结构,当地质条件复杂时,往往会产生不均匀沉降,对综合管廊结构产生内力。当能够设置变形缝时,尽量采取设置变形缝的方式来消除由于不均匀沉降产生的内力。当由于外界条件约束不能够设置变形缝时,应考虑地基不均匀沉降的影响。
《城市综合管廊工程技术标准》GB/T50838-2015(2024年版)
8.4.1 现浇混凝土综合管廊结构的截面内力计算模型宜采用闭合框架模型。作用于结构底板的基底反力分布应根据地基条件确定,并应符合下列规定:
1 地层较为坚硬或经加固处理的地基,基底反力可视为直线分布;
2 未经处理的软弱地基,基底反力应按弹性地基上的平面变形截条计算确定。
8.4.2 现浇混凝土综合管廊结构设计应符合现行国家标准《混凝土结构设计规范》GB 50010、《纤维增强复合材料建设工程应用技术规范》GB 50608的有关规定。
条文说明
8.4.1 现浇混凝土综合管廊结构一般为矩形箱涵结构。结构的受力模型为闭合框架。现浇综合管廊闭合框架计算模型见图9。

图9 现浇综合管廊闭合框架计算模型
1-综合管廊顶板荷载;2-综合管廊地基反力;3-综合管廊侧向水土压力
8.5.1 预制拼装综合管廊结构宜采用预应力筋连接接头、螺栓连接接头或承插式接头。当场地条件较差,或易发生不均匀沉降时,宜采用承插式接头。当有可靠依据时,也可采用其他能够保证预制拼装综合管廊结构安全性、适用性和耐久性的接头构造。
8.5.2 仅带纵向拼缝接头的预制拼装综合管廊结构的截面内力计算模型宜采用与现浇混凝土综合管廊结构相同的闭合框架模型。
8.5.3 带纵、横向拼缝接头的预制拼装综合管廊的截面内力计算模型应考虑拼缝接头的影响,拼缝接头影响宜采用K-ζ法(旋转弹簧-ζ法)计算,构件的截面内力分配应按下列公式计算:
M=Kθ (8.5.3-1)
Mj=(1-ζ)M,Nj=N (8.5.3-2)
Mz=(1+ζ)M,Nz=N (8.5.3-3)
式中:K——旋转弹簧常数,25000kN·m/rad≤K≤50000kN·m/rad;
M——按照旋转弹簧模型计算得到的带纵、横向拼缝接头的预制拼装综合管廊截面内各构件的弯矩设计值(kN·m);
Mj——预制拼装综合管廊节段横向拼缝接头处弯矩设计值(kN·m);
Mz——预制拼装综合管廊节段整浇部位弯矩设计值(kN·m);
N——按照旋转弹簧模型计算得到的带纵、横向拼缝接头的预制拼装综合管廊截面内各构件的轴力设计值(kN);
Nj——预制拼装综合管廊节段横向拼缝接头处轴力设计值(kN);
Nz——预制拼装综合管廊节段整浇部位轴力设计值(kN·m);
θ——预制拼装综合管廊拼缝相对转角(rad);
ζ——拼缝接头弯矩影响系数。当采用拼装时取ζ=0,当采用横向错缝拼装时取0.3<ζ<0.6。
K、ζ的取值受拼缝构造、拼装方式和拼装预应力大小等多方面因素影响,一般情况下应通过试验确定。
8.5.4 预制拼装综合管廊结构中,现浇混凝土截面的受弯承载力、受剪承载力和最大裂缝宽度宜符合现行国家标准《混凝土结构设计规范》GB 50010的有关规定。
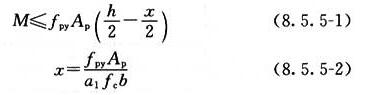
8.5.5 预制拼装综合管廊结构采用预应力筋连接接头或螺栓连接接头时,其拼缝接头的受弯承载力(图8.5.5)应符合下列公式要求:
图8.5.5 接头受弯承载力计算简图
式中:M——接头弯矩设计值(kN·m);
fpy——预应力筋或螺栓的抗拉强度设计值(N/mm²);
Ap——预应力筋或螺栓的截面面积(mm²);
h——构件截面高度(mm);
x——构件混凝土受压区截面高度(mm);
a1——系数,当混凝土强度等级不超过C50时,a1取1.0,当混凝土强度等级为C80时,a1取0.94,期间按线性内插法确定。
8.5.6 带纵、横向拼缝接头的预制拼装综合管廊结构应按荷载效应的标准组合,并应考虑长期作用影响对拼缝接头的外缘张开量进行验算,且应符合下式要求:
式中:△——预制拼装综合管廊拼缝外缘张开量(mm);
△max——拼缝外缘最大张开量限值,一般取2mm;
h——拼缝截面高度(mm);
K——旋转弹簧常数;
Mk——预制拼装综合管廊拼缝截面弯矩标准值(kN·m)。
8.5.7 预制拼装综合管廊拼缝防水应采用预制成型弹性密封垫为主要防水措施。
8.5.8 拼缝弹性密封垫应沿环、纵面兜绕成框型。沟槽形式、截面尺寸应与弹性密封垫的形式和尺寸相匹配(图8.5.8)。
图8.5.8 拼缝接头防水构造
a-弹性密封垫材;b-嵌缝槽
8.5.9 拼缝处应至少设置一道密封垫沟槽,密封垫及沟槽的截面尺寸应符合下式要求:
A=1.0A0~1.5A0 (8.5.9)
式中:A——密封垫沟槽截面积;
A0——密封垫截面积。
8.5.10 拼缝处应选用弹性橡胶与遇水膨胀橡胶制成的复合密封垫。弹性橡胶密封垫宜采用三元乙丙(EPDM)橡胶或氯丁(CR)橡胶。
8.5.11 复合密封垫宜采用中间开孔、下部开槽等特殊截面的构造形式,并应制成闭合框型。
8.5.12 采用高强钢筋或钢绞线作为预应力筋的预制综合管廊结构的抗弯承载能力应按现行国家标准《混凝土结构设计规范》GB 50010有关规定进行计算。
8.5.13 采用纤维增强塑料筋作为预应力筋的综合管廊结构抗弯承载力能力计算应按现行国家标准《纤维增强复合材料建设工程应用技术规范》GB 50608有关规定进行设计。
8.5.14 预制拼装综合管廊拼缝的受剪承载力应符合现行行业标准《装配式混凝土结构技术规程》JGJ 1的有关规定。
条文说明
8.5.2 预制拼装综合管廊结构计算模型为封闭框架,但是由于拼缝刚度的影响,在计算时应考虑到拼缝刚度对内力折减的影响。预制拼装综合管廊闭合框架计算模型见图10。
图10 预制拼装综合管廊闭合框架计算模型
1-综合管廊顶板荷载;2-综合管廊地基反力;3-综合管廊侧向水土压力;4-拼缝接头旋转弹簧
8.5.3 估算拼缝接头影响的K-ζ法(旋转弹簧-ζ法)是根据本规范主编单位完成的上海世博会园区预制拼装综合管廊相关研究成果,并参考国际隧道协会(ITA)公布的《盾构隧道衬砌设计指南》(Proposed recommendation for design of lining of shield tun-nel)中关于结构构件内力计算的相关建议确定的。
该方法用一个旋转弹簧模拟预制拼装综合管廊的横向拼缝接头,即在拼缝接头截面上设置一旋转弹簧,并假定旋转弹簧的弯矩-转角关系满足公式(8.5.3-1),由此计算出结构的截面内力。根据结构横向拼缝拼装方式的不同,再按公式(8.5.3-2、8.5.3-3)对计算得到的弯矩进行调整。
参数K和ζ的取值范围是根据本规范主编单位的相关试验结果和国际隧道协会(ITA)的建议取值确定的。由于K、ζ的取值受拼缝构造、拼装方式和拼装预应力大小等多方面因素影响,其取值应通过试验确定。
8.5.6 带纵、横向拼缝接头的预制拼装综合管廊截面内拼缝接头外缘张开量计算公式以及最大张开量限值均根据本规范主编单位完成的相关研究成果(上海市政工程设计研究总院(集团)有限公司.上海世博园区预制预应力综合管廊接头防水性能试验研究[R].特种结构,2009,26(1):109-113.)确定。限于篇幅,本规范未列出公式(8.5.6)的推导过程。
根据上海市工程建设规范《城市轨道交通设计规范》DGJ 08-109-2004第14.4.3条,拼缝张开值为2mm~3mm,错位量不应大于10mm。本规范结合试验结果取2mm。
8.5.7 预制拼装综合管廊弹性密封垫的界面应力限值根据本标准主编单位完成的相关研究成果[上海市政工程设计研究总院(集团)有限公司.上海世博园区预制预应力综合管廊接头防水性能试验研究[R].特种结构,2009,26(1):109—113]确定,主要为了保证弹性密封垫的紧密接触,达到防水防渗的目的。近年来,新型防水材料不断出现,可以不受此指标限制。
8.6.1 综合管廊结构应在纵向设置变形缝,变形缝的设置应符合下列规定:
1 现浇混凝土综合管廊结构变形缝的最大间距应为30m;
2 结构纵向刚度突变处以及上覆荷载变化处或下卧土层突变处,应设置变形缝;
3 变形缝的缝宽不宜小于30mm;
4 变形缝应设置橡胶止水带、填缝材料和嵌缝材料等止水构造。
8.6.2 混凝土综合管廊结构主要承重侧壁的厚度不宜小于250mm,非承重侧壁和隔墙等构件的厚度不宜小于200mm。
8.6.3 混凝土综合管廊结构中钢筋的混凝土保护层厚度,结构迎水面不应小于50mm,结构其他部位应根据环境条件和耐久性要求并按现行国家标准《混凝土结构设计规范》GB 50010的有关规定确定。
8.6.4 综合管廊各部位金属预埋件的锚筋面积和构造要求应按现行国家标准《混凝土结构设计规范》GB 50010的有关规定确定。预埋件的外露部分,应采取防腐保护措施。
条文说明
8.6.1 本条规定参照了国家标准《混凝土结构设计规范》GB 50010-2010第8.1.1条。由于地下结构的伸(膨胀)缝、缩(收缩)缝、沉降缝等结构缝是防水防渗的薄弱部位,应尽可能少设,故将前述三种结构缝功能整合设置为变形缝。
变形缝间距综合考虑了混凝土结构温度收缩、基坑施工等因素确定的,在采取以下措施的情况下,变形缝间距可适当加大,但不宜大于40m:
1 采取减小混凝土收缩或温度变化的措施;
2 采用专门的预加应力或增配构造钢筋的措施;
3 采用低收缩混凝土材料,采取跳仓浇筑、后浇带、控制缝等施工方法,并加强施工养护。
8.6.3 综合管廊迎水面混凝土保护层厚度参照国家标准《地下工程防水技术规范》GB 50108第4.1.6条和行业标准《电力电缆隧道设计规程》DL/T 5484-2013第4.3.2条的规定确定。
9.1.1 施工单位应建立安全管理体系和安全生产责任制,确保施工安全。
9.1.2 施工项目质量控制应符合国家现行有关施工标准的规定,并应建立质量管理体系、检验制度,满足质量控制要求。
9.1.3 施工前应熟悉和审查施工图纸,并应掌握设计意图与要求。应实行自审、会审(交底)和签证制度;对施工图有疑问或发现差错时,应及时提出意见和建议。当需变更设计时,应按相应程序报审,并应经相关单位签证认定后实施。
9.1.4 施工前应根据工程需要进行下列调查:
1 现场地形、地貌、地下管线、地下构筑物、其他设施和障碍物情况;
2 工程用地、交通运输、施工便道及其他环境条件;
3 施工给水、雨水、污水、动力及其他条件;
4 工程材料、施工机械、主要设备和特种物资情况;
5 地表水水文资料,在寒冷地区施工时尚应掌握地表水的冻结资料和土层冰冻资料;
6 与施工有关的其他情况和资料。
9.1.5 综合管廊防水工程的施工及验收应按现行国家标准《地下防水工程质量验收规范》GB 50208的相关规定执行。
9.1.6 综合管廊工程应经过竣工验收合格后,方可投入使用。
条文说明
9.1.4 综合管廊一般建设在城市的中心地区,同时涉及的线长面广,施工组织和管理的难度大。为了保证施工的顺利,应当对施工现场、地下管线和构筑物等进行详尽的调查,并了解施工临时用水、用电的供给情况。
9.2.1 综合管廊工程基坑(槽)开挖前,应根据围护结构的类型、工程水文地质条件、施工工艺和地面荷载等因素制定施工方案。
9.2.2 土石方爆破必须按照国家有关部门规定,由专业单位进行施工。
9.2.3 基坑回填应在综合管廊结构及防水工程验收合格后进行。回填材料应符合设计要求及国家现行标准的有关规定。
9.2.4 综合管廊两侧回填应对称、分层、均匀。管廊顶板上部1000mm范围内回填材料应采用人工分层夯实,大型碾压机不得直接在管廊顶板上部施工。
9.2.5 综合管廊回填土压实度应符合设计要求。当设计无要求时,应符合表9.2.5的规定。
表9.2.5 综合管廊回填土压实度
9.2.6 综合管廊基础施工及质量验收除符合本节规定外,尚应符合现行国家标准《建筑地基基础工程施工质量验收规范》GB 50202的有关规定。
条文说明
9.2.3 综合管廊基坑的回填应尽快进行,以免长期暴露导致地下水和地表水侵入基坑。根据地下工程的验收要求,应当首先通过结构和防水工程验收合格后,方能够进行下道工序的施工。
《城市综合管廊工程技术标准》GB/T50838-2015(2024年版)
9.3.1 综合管廊模板施工前,应根据结构形式、施工工艺、设备和材料供应条件进行模板及支架设计。模板及支撑的强度、刚度及稳定性应满足受力要求。
9.3.2 混凝土的浇筑应在模板和支架检验合格后进行。入模时应防止离析。连续浇筑时,每层浇筑高度应满足振捣密实的要求。预留孔、预埋管、预埋件及止水带等周边混凝土浇筑时,应辅助人工插捣。
9.3.3 混凝土底板和顶板,应连续浇筑不得留置施工缝。设计有变形缝时,应按变形缝分仓浇筑。
9.3.4 混凝土施工质量验收应符合现行国家标准《混凝土结构工程施工质量验收规范》GB 50204的有关规定。
条文说明
9.3.1 综合管廊工程施工的模板工程量较大,因而施工时应确定合理的模板工程方案,确保工程质量,提高施工效率。
9.3.3 综合管廊为地下工程,在施工过程中施工缝是防水的薄弱部位,本条强调施工缝施工的重点事项。
9.4.1 预制拼装钢筋混凝土构件的模板,应采用精加工的钢模板。
9.4.2 构件堆放的场地应平整夯实,并应具有良好的排水措施。
9.4.3 构件的标识应朝向外侧。
9.4.4 构件运输及吊装时,混凝土强度应符合设计要求。当设计无要求时,不应低于设计强度的75%。
9.4.5 预制构件安装前,应复验合格。当构件上有裂缝且宽度超过0.2mm时,应进行鉴定。
9.4.6 预制构件和现浇结构之间、预制构件之间的连接应按设计要求进行施工。
9.4.7 预制构件制作单位应具备相应的生产工艺设施,并应有完善的质量管理体系和必要的试验检测手段。
9.4.8 预制构件安装前应对其外观、裂缝等情况进行检验,并应按设计要求及现行国家标准《混凝土结构工程施工质量验收规范》GB 50204的有关规定进行结构性能检验。
9.4.9 预制构件采用螺栓连接时,螺栓的材质、规格、拧紧力矩应符合设计要求及现行国家标准《钢结构设计规范》GB 50017和《钢结构工程施工质量验收规范》GB 50205的有关规定。
条文说明
9.4.1 预制装配式综合管廊采用工厂化制作的预制构件,采用精加工的钢模板可以确保构件的混凝土质量、尺寸精度。
9.4.3 构件的标识朝外主要便于施工人员对构件的辨识。
9.4.5 有裂缝的构件应进行技术鉴定,判定其是否属于严重质量缺陷,经过有关处理后能否合理使用。
9.4.7 综合管廊预制构件的质量涉及工程质量和结构安全,制作单位应满足国家及地方有关部门对硬件设施、人员配置、质量管理体系和质量检测手段等方面的规定和要求。预制构件制作前,建设单位应组织设计、生产、施工单位进行技术交底。如预制构件制作详图无法满足制作要求,应进行深化设计和施工验算,完善预制构件制作详图和施工装配详图,避免在构件加工和施工过程中,出现错、漏、碰、缺等问题。对应预留的孔洞及预埋部件,应在构件加工前进行认真核对,以免现场剔凿,造成损失。构件制作单位应制定生产方案,生产方案应包括生产工艺、模具方案、生产计划、技术质量控制措施、成品保护、堆放及运输方案等内容。
9.5.1 预应力筋张拉或放张时,混凝土强度应符合设计要求。当设计无要求时,不应低于设计的混凝土立方体抗压强度标准值的75%。
9.5.2 预应力筋张拉锚固后,实际建立的预应力值与工程设计规定检验值的相对允许偏差应为±5%。
9.5.3 后张法有粘结预应力筋张拉后应尽早进行孔道灌浆,孔道内水泥浆应饱满、密实。
9.5.4 锚具的封闭保护应符合设计要求。当设计无要求时,应符合现行国家标准《混凝土结构工程施工质量验收规范》GB 50204的有关规定。
条文说明
9.5.1 过早地对混凝土施加预应力,会引起较大的回缩和徐变预应力损失,同时可能因局部承压过大而引起混凝土损伤。本条规定的预应力张拉及放张时混凝土强度,是根据现行国家标准《混凝土结构设计规范》GB 50010的规定确定的。若设计对此有明确要求,则应按设计要求执行。
9.5.2 预应力筋张拉锚固后,实际建立的预应力值与量测时间有关。相隔时间越长,预应力损失值越大,故检测值应由设计通过计算确定。预应力筋张拉后实际建立的预应力值对结构受力性能影响很大,必须予以保证。
9.5.3 预应力筋张拉后处于高应力状态,对腐蚀非常敏感,所以应尽早进行孔道灌浆。灌浆是对预应力筋的永久保护措施,故要求水泥浆饱满、密实,完全裹住预应力筋。
9.5.4 封闭保护应遵照设计要求执行,并在施工技术方案中作出具体规定。后张预应力筋的锚具多配置在结构的端面,所以常处于易受外力冲击和雨水浸入的状态;此外,预应力筋张拉锚固后,锚具及预应力筋处于高应力状态,为确保暴露于结构外的锚具能够永久性地正常工作,不致受外力冲击和雨水浸入而造成破损或腐蚀,应采取防止锚具锈蚀和遭受机械损伤的有效措施。
9.6.1 砌体结构所用的材料应符合下列规定:
1 石材强度等级不应低于MU40,并应质地坚实,无风化削层和裂纹。
2 砌筑砂浆应采用水泥砂浆,强度等级应符合设计要求,且不应低于M10。
9.6.2 砌体结构中的预埋管、预留洞口结构应采取加强措施,并应采取防渗措施。
9.6.3 砌体结构的砌筑施工除符合本节规定外,尚应符合现行国家标准《砌体结构工程施工质量验收规范》GB 50203的相关规定和设计要求。
条文说明
9.6.1 综合管廊采用砌体结构形式较少,但在有些地区仍有采用砌体的传统和条件,本条参考现行国家标准《砌体工程施工质量验收规范》GB 50203的规定。
9.7.1 综合管廊预埋过路排管的管口应无毛刺和尖锐棱角。排管弯制后不应有裂缝和显著的凹瘪现象,弯扁程度不宜大于排管外径的10%。
9.7.2 电缆排管的连接应符合下列规定:
1 金属电缆排管不得直接对焊,应采用套管焊接的方式。连接时管口应对准,连接应牢固,密封应良好。套接的短套管或带螺纹的管接头的长度,不应小于排管外径的2.2倍。
2 硬质塑料管在套接或插接时,插入深度宜为排管内径的1.1倍~1.8倍。插接面上应涂胶合剂粘牢密封。
3 水泥管宜采用管箍或套接方式连接,管孔应对准,接缝应严密,管箍应设置防水垫密封。
9.7.3 电缆支架及桥架宜选用耐腐蚀的非铁磁性材料。
9.7.4 电缆支架的加工、安装及验收应符合现行国家标准《电气装置安装工程电缆线路施工及验收规范》GB 50168的有关规定。
9.7.5 仪表工程的安装及验收应符合现行国家标准《自动化仪表工程施工及质量验收规范》GB 50093的有关规定。
9.7.6 电气设备、照明、接地施工安装及验收应符合现行国家标准《电气装置安装工程电缆线路施工及验收规范》GB 50168、《建筑电气工程施工质量验收规范》GB 50303、《建筑电气照明装置施工与验收规范》GB 50617和《电气装置安装工程接地装置施工及验收规范》GB 50169的有关规定。
9.7.7 火灾自动报警系统施工及验收应符合现行国家标准《火灾自动报警系统施工及验收规范》GB 50166的有关规定。
9.7.8 通风系统施工及验收应符合现行国家标准《风机、压缩机、泵安装工程施工及验收规范》GB 50275和《通风与空调工程施工质量验收规范》GB 50243的有关规定。
条文说明
9.7.1 综合管廊预埋过路排管主要为了满足今后电缆的穿越敷设,管口出现毛刺或尖锐棱角会对电缆表皮造成破坏,因而应重点检查。
9.7.3 本条修订参考国家现行行业标准《电力电缆隧道设计规程》DL/T5484的有关规定,选用非铁磁性材料有利于降低输电损耗。
《城市综合管廊工程技术标准》GB/T50838-2015(2024年版)
9.8.1 管线施工及验收应符合本规范第6章的有关规定。
9.8.2 电力电缆施工及验收应符合现行国家标准《电气装置安装工程电缆线路施工及验收规范》GB 50168和《电气装置安装工程接地装置施工及验收规范》GB 50169的有关规定。
9.8.3 通信管线施工及验收应符合国家现行标准《综合布线系统工程验收规范》GB 50312、《通信线路工程验收规范》YD 5121和《光缆进线室验收规定》YD/T 5152的有关规定。
9.8.4 给水、排水管道施工及验收应符合现行国家标准《给水排水管道工程施工及验收规范》GB 50268的有关规定。
9.8.5 热力管道施工及验收应符合国家现行标准《城镇供热管网工程施工及验收规范》CJJ 28的有关规定。
9.8.6 天然气管道施工及验收应符合现行国家标准《城镇燃气输配工程施工及验收规范》CJJ 33的有关规定,焊缝的射线探伤验收应符合现行行业标准《承压设备无损检测 第2部分:射线检测》JB/T 4730.2的有关规定。
条文说明
9.8.5 本条修订删除了关联性不大的《通风与空调工程施工质量验收规范》GB50243。
10.1.1 综合管廊建成后,应由专业单位进行日常管理。
10.1.2 综合管廊的日常管理单位应建立健全维护管理制度和工程维护档案,并应会同各专业管线单位编制管线维护管理办法、实施细则及应急预案。
10.1.3 综合管廊内的各专业管线单位应配合综合管廊日常管理单位工作,确保综合管廊及管线的安全运营。
10.1.4 各专业管线单位应编制所属管线的年度维护维修计划,并应报送综合管廊日常管理单位,经协调后统一安排管线的维修时间。
10.1.5 城市其他建设工程施工需要搬迁、改建综合管廊设施时,应报经城市建设主管部门批准后方可实施。
10.1.6 城市其他建设工程毗邻综合管廊设施,应按有关规定预留安全间距,并应采取施工安全保护措施。
10.1.7 综合管廊内实行动火作业时,应采取防火措施。
10.1.8 综合管廊内给水管道的维护管理应符合现行行业标准《城镇供水管网运行、维护及安全技术规程》CJJ 207的有关规定。
10.1.9 综合管廊内排水管渠的维护管理应符合现行行业标准《城镇排水管道维护安全技术规程》CJJ 6和《城镇排水管渠与泵站维护技术规程》CJJ 68的有关规定。
10.1.10 利用综合管廊结构本体的雨水渠,每年非雨季清理疏通不应少于2次。
10.1.11 综合管廊的巡视维护人员应采取防护措施,并应配备防护装备。
10.1.12 综合管廊投入运营后应定期检测评定,对综合管廊本体、附属设施、内部管线设施的运行状况应进行安全评估,并应及时处理安全隐患。
条文说明
10.1.1 综合管廊容纳的城市工程管线为城市的生命线,管理的专业性强,应有专业物业管理单位管理和维护。
10.1.10 为保障综合管廊的正常、安全运营,延长综合管廊的使用寿命,明确了利用综合管廊结构本体的雨水渠最低养护周期。
10.1.12 综合管廊作为城市的重要基础设施,应进行定期检测评定,建立相关指标,确保综合管廊本体、入廊管线以及监控、通风、照明等系统运行安全,并为管线单位的维护管理提供参考。
10.2.1 综合管廊建设、运营维护过程中,档案资料的存放、保管应符合国家现行标准的有关规定。
10.2.2 综合管廊建设期间的档案资料应由建设单位负责收集、整理、归档。建设单位应及时移交相关资料。维护期间,应由综合管廊日常管理单位负责收集、整理、归档。
10.2.3 综合管廊相关设施进行维修及改造后,应将维修和改造的技术资料整理、存档。
条文说明
10.2.2 综合管廊建设模式多样,无论是由政府直接负责建设或由其他机构代为建设,在建设过程中形成的档案资料应完整移交给管理单位。
1 为便于在执行本规范条文时区别对待,对要求严格程度不同的用词说明如下:
1)表示很严格,非这样做不可的:
正面词采用“必须”,反面词采用“严禁”;
2)表示严格,在正常情况下均应这样做的:
正面词采用“应”,反面词采用“不应”或“不得”;
3)表示允许稍有选择,在条件许可时首先应这样做的:
正面词采用“宜”,反面词采用“不宜”;
4)表示有选择,在一定条件下可以这样做的,采用“可”。
2 条文中指明应按其他有关标准执行的写法为:“应符合……的规定”或“应按……执行”。
《建筑地基基础设计规范》GB 50007
《建筑结构荷载规范》GB 50009
《混凝土结构设计规范》GB 50010
《室外给水设计标准》GB 50013
《室外排水设计标准》GB 50014
《钢结构设计标准》GB 50017
《城镇燃气设计规范》GB 50028
《供配电系统设计规范》GB 50052
《建筑物防雷设计规范》GB 50057
《爆炸危险环境电力装置设计规范》GB 50058
《交流电气装置的接地设计规范》GB/T 50065
《自动化仪表工程施工及质量验收规范》GB 50093
《火灾自动报警系统设计规范》GB 50116
《火灾自动报警系统施工及验收标准》GB 50166
《电气装置安装工程电缆线路施工及验收标准》GB 50168
《电气装置安装工程接地装置施工及验收规范》GB 50169
《数据中心设计规范》GB 50174
《建筑地基基础工程施工质量验收标准》GB 50202
《砌体结构工程施工质量验收规范》GB 50203
《混凝土结构工程施工质量验收规范》GB 50204
《钢结构工程施工质量验收标准》GB 50205
《地下防水工程质量验收规范》GB 50208
《电力工程电缆设计标准》GB 50217
《工业设备及管道绝热工程设计规范》GB 50264
《给水排水管道工程施工及验收规范》GB 50268
《风机、压缩机、泵安装工程施工及验收规范》GB 50275
《建筑电气工程施工质量验收规范》GB 50303
《综合布线系统工程设计规范》GB 50311
《综合布线系统工程验收规范》GB 50312
《给水排水工程管道结构设计规范》GB 50332
《城镇污水再生利用工程设计规范》GB50335
《建筑物电子信息系统防雷技术规范》GB 50343
《安全防范工程技术标准》GB 50348
《入侵报警系统工程设计规范》GB 50394
《视频安防监控系统工程设计规范》GB 50395
《出入口控制系统工程设计规范》GB 50396
《混凝土结构耐久性设计标准》GB/T 50476
《纤维增强复合材料工程应用技术标准》GB 50608
《建筑电气照明装置施工与验收规范》GB 50617
《混凝土结构工程施工规范》GB 50666
《城镇燃气输配工程施工及验收标准》GB/T 51455
《碳素结构钢》GB/T 700
《钢筋混凝土用钢 第1部分:热轧光圆钢筋》GB 1499.1
《钢筋混凝土用钢 第2部分:热轧带肋钢筋》GB 1499.2
《安全标志及其使用导则》GB 2894
《设备及管道绝热技术通则》GB/T 4272
《预应力混凝土用钢绞线》GB/T 5224
《设备及管道绝热设计导则》GB/T 8175
《钢筋混凝土用余热处理钢筋》GB 13014
《预应力混凝土用螺纹钢筋》GB/T 20065
《结构工程用纤维增强复合材料筋》GB/T 26743
《燃气工程项目规范》GB 55009
《特殊设施工程项目规范》GB 55028
《建筑防火通用规范》GB 55037
《密闭空间作业职业危害防护规范》GBZ/T 205
《城镇排水管道维护安全技术规程》CJJ 6
《城镇供热管网工程施工及验收规范》CJJ 28
《城镇供热管网设计标准》CJJ 34
《城镇排水管渠与泵站运行、维护及安全技术规程》CJJ 68
《城镇供热管网结构设计规范》CJJ 105
《城镇供水管网运行、维护及安全技术规程》CJJ 207
《电力电缆隧道设计规程》DL/T 5484
《阻燃及耐火电缆 塑料绝缘阻燃及耐火电缆分级和要求 第1部分:阻燃电缆》GA 306.1
《阻燃及耐火电缆 塑料绝缘阻燃及耐火电缆分级和要求 第2部分:耐火电缆》GA 306.2
《装配式混凝土结构技术规程》JGJ 1
《普通混凝土用砂、石质量及检验方法标准》JGJ 52
《混凝土用水标准》JGJ 63
《通信线路工程设计规范》YD 5102
《通信线路工程验收规范》YD 5121
《光缆进线室设计规定》YD/T 5151
《光缆进线室验收规定》YD/T 5152
《城市综合管廊工程技术标准》GB/T50838-2015(2024年版)